Convertidores D/A y A/D
INTRODUCClON
La mayor parte de la "información" generada en el mundo físico tiene un marcado carácter analógico. Esto significa, que la información experimenta una variación continua, entre ciertos niveles límites, a lo largo del tiempo. Por supuesto que también existen informaciones de carácter digital, todo-nada, pero su número es notablemente inferior a las anteriormente mencionadas.
Dada la gran sencillez tecnológica que supone el tratamiento automático
de la información digital, así como las numerosas máquinas que han surgido recientemente con dicho fin, en muchos casos es necesario transformar la información analógica en otra equivalente de carácter digital. Los sistemas que se encargan de llevar a cabo esta transformación se llaman "convertidores A/D" o también "conversores A/D".
El resultado del procesamiento digital de la información está constituido por señales de carácter digital, que en muchas ocasiones deberán actuar y controlar cargas o actuadores de carácter analógico. Los sistemas que se encargan de la conversión de la información digital a la forma analógica, se denominan "convertidores DIA" o también "conversores D/A".
En la figura 1 se muestra el esquema básico del control automático de un sistema real. En él se aprecia claramente el posicionamiento de los dos eslabones de la cadena en los que la señal o información se convierte de digital a analógica y viceversa.

Para comprender la teoría de la conversión de magnitudes se comienza planteando el "teorema del muestreo", el multiplexado y demultiplexado en el tiempo y unas ideas básicas sobre cuantificación y codificación de señales. A continuación se explicarán los conversores digitales analógicos, ya que son más sencillos y forman parte en gran número de conversores A/D. Finalmente se explicarán los diversos tipos de convertidores analógico-digitales.
TEOREMA DE MUESTREO
Sólo se indica el enunciado del teorema de muestreo, puesto que su demostración queda fuera de los márgenes de estas páginas.
El teorema de muestreo puede enunciarse de la siguiente forma:
"Si una señal continua, S(t), tiene una banda de frecuencia tal que fm sea la mayor frecuencia comprendida dentro de dicha banda, dicha señal podrá reconstruirse sin distorsión a partir de muestras de la señal tomadas a una frecuencia fs, siendo fs ≥ 2. fm"
En la figura 2 se muestra un esquema simplificado del proceso de muestreo.

Con referencia a la figura 2, el interruptor no es de tipo mecánico, puesto que por lo general, fs es de bastante valor. Suelen emplearse transistores de efecto de campo como interruptores, para cumplir los requerimientos que se les exigen entre los que se encuentran:
1º) Una elevada resistencia al aislamiento cuando los interruptores (transistores) están desconectados,
2°) Una baja resistencia si los interruptores están cónectados o cerrados y
3°) Una elevada velocidad de conmutación entre los dos estados de los interruptores.
En la figura 3 se ofrece las formas de las tres señales principales: S(t), señal a muestrear, y, señal muestreadora y So(t), que será la señal muestreada.

Desde el punto de vista de la cuantificación de la señal muestreada, lo ideal sería que el tiempo en que el interruptor está cerrado, fuese prácticamente cero, ya que de otro modo, la señal muestreada puede variar en dicho tiempo y hacer imprecisa su cuantificación.
Por último, debe tenerse en cuenta que para la reconstrucción de la señal, a partir de la muestreada, empleando un filtro paso bajo, éste deberá poseer una función de transferencia, como la ofrecida en la figura 4.

Obsérvese sobre la figura 4, que la respuesta del filtro debe ser plana hasta una frecuencia, como mínimo, igual a fm , para caer posteriormente de forma brusca a cero, antes de que la frecuencia alcance el valor de fs - fm .
Mediante la aplicación del teorema del muestreo, se pueden transmitir varias señales, por un mismo canal de comunicación. Para ello se muestrea sucesivamente varias señales Si , S2 .... Sk y la señal muestreada se envía por el canal de comunicación. A este sistema se le denomina "multiplexado en el tiempo". Al otro extremo del canal habrá que separar
las distintas señales muestreadas para hacerlas pasar después por el filtro paso bajo que las reconstruye. El proceso descrito se representa gráficamente en la figura 5.

El multiplexor y el demultiplexor se han representado mediante conmutadores rotativos sincronizados, los cuales, evidentemente no son adecuados, dada la gran frecuencia de giro fs necesaria en este sistema. Actualmente se emplean en lugar de dichos conmutadores, multiplexores y demultiplexores electrónicos.
En este sistema de transmisión de señales es imprescindible, el perfecto sincronismo entre los dos extremos del canal.
CUANTIFICACION y CODIFICACIÓN
La cuantificación de una señal consiste en la conversión de la señal, que puede tomar cualquier valor dentro de un intervalo, en otra cuyos valores son discretos, o sea, varía a incrementos fijbs. Esto quiere decir, que se asigna un mismo valor a todas las señales cuya magnitud se encuentre comprendida dentro de un intervalo, que constituye el "escalón de cuantificación". Como quiera que en todo proceso de cuantificación existe una aproximación, también existirá un error.
En la práctica para cuantificar una señal son necesarios dos procesos. El primero consiste en muestrear la señal continua, tal como se ha explicado con anterioridad, obteniendo una señal discreta en el tiempo, con variación continua de magnitud. El muestreo es necesario, porque el proceso de la cuantificación requiere cierto tiempo y si la señal que entra al cuantificador fuese continua en el tiempo, sería imposible para éste realizar su cometido. El segundo proceso consiste en la cuantificación propiamente dicha.
Una función ideal de transferencia de un cuantificador, puede ser la representada en la figura 6.

Deben tenerse en cuenta las siguientes características de la figura 6.
- Existen unos niveles de decisión (-2,5; -1,5; -0,5; 0,5; 1,5, etc.).
- A los valores comprendidos entre dos niveles consecutivos se les asigna un valor intermedio fijo.
- La distancia entre niveles consecutivos de decisión es ΔV = cte.
En otros casos el ΔV varía de una manera determinada, por ejemplo logarítmica, lo que ocurre cuando se recurre a la compresión de la señal.
El error de cuantificación tiene la forma de diente de sierra, como se muestra en la figura 7.
El error de cuantificación será tanto mayor, cuanto mayor sea el desnivel de los escalones de cuantificación. Por lo tanto, para alcanzar un error pequeño hay que recurrir a un elevado número de niveles con la consiguiente complicación de los circuitos.

Si se pretende cuantificar una señal con un margen pico a pico M, usando p niveles de cuantificación, el tamaño del escalón ΔV, se determina mediante la siguiente ecuación:

Para codificar estos p niveles a un sistema binario de numeración, se necesitan al menos, un número de dígitos tal, que cumplan la siguiente relación:

En resumen, para que una señal analógica pueda ser procesada por un sistema áutomático debe pasar por las tres fases siguientes: muestreo, cuantificación y codificación. Así se consigue la traducción a lenguaje máquina (binario) de la señal analógica.
Temas relacionados :
CONVERTIDORES D/A (DIGITAL/ANALOGICO)
Los convertidores D/A son dispositivos que reciben en su entrada una información digital, en forma de palabras de n bits, y proporcionan en su salida una información analógica, ya sea en forma de tensión o de corriente.
La transformación se realiza, haciendo corresponder a cada una de las 2n posibles palabras de entrada (número de combinaciones con n bits), una señal única (tensión o corriente) mediante la actuación de una señal de referencia, que generalmente suele consistir en una tensión Vref. De esta forma a la salida del conversor se obtiene una señal de valores discretos y no una señal de variación continua.

El primer bloque de la figura AV-B, al que se le ha llamado "registros", almacena la información durante el tiempo necesario para la conversión, quedando libres las líneas de comunicación. Si la información viene en serie, en lugar de paralelo, como se indica en la figura, los registros además llevan a cabo la conversión serie-paralelo.
El segundo bloque de la figura 8, lo constituyen los denominados"conmutadores electrónicos", cuya misión consiste en conectar una resistencia a la tensión de referencia, o bien, derivarla a tierra. Se precisa que el conmutador presente la mínima resistencia, comparada con el valor de la resistencia que conecta, ya que de otra forma daría lugar a importantes errores.
A menudo, la implementación de estos conmutadores electrónicos se realiza mediante transistores complementarios, tanto en tecnología bipolar, como con transistores de efecto de campo, como se muestra en la figura 9.

Para que los conmutadores de la figura 9, proporcionen con un nivel alto en su entrada, aproximadamente la Vref por su salida, será necesario añadir a la entrada de los conmutadores un inversor. En la figura 10 se ofrece otra forma de realizar los conmutadores.

Por último la presencia del amplificador operacional, a la salida del diagrama por bloques del conversor D/A es prácticamente común en todos ellos.
La configuración que adopta la red de resistencias da lugar a los diversos tipos de conversores que se describen a continuación.
CONVERTIDOR D/A CON RESISTENCIAS PONDERADAS
Este tipo de convertidor, responde al esquema de la figura 11. Apréciese que su red de resistencias está formada por un conjunto de valores que se obtienen a partir de una de ellas, R, dividiéndolas sucesivamente
por potencias crecientes de 2. Todas las resistencias se conectan a la entrada de un amplificador operacional, conectado en modo sumador.
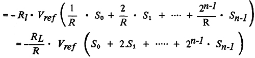
La tensión de salida del amplificador operacional será:



En donde Si tomará el valor 0 ó 1, según sea el valor del bit correspondiente. Se observa claramente en la última fórmula que la salida es
proporcional a los pesos de los bits de entrada. La constante de proporcionalidad (RL / R)· Vref, se elegirá de acuerdo con los requerimientos
de cada caso particular.
La exactitud de este sencillo convertidor, depende de la precisión de las resistencias, siendo además necesario que el valor de dichas resistencias no varíe con la temperatura. Un grave problema de este convertidor es tener que disponer de un gran número de resistencias de mucha precisión, que además deberán tener valores bastante elevados. Esto es así, debido a que las inevitables resistencias que ofrecen los conmutadores obligan a que las resistencias que se les conecta tenga un valor relativamente
alto, para poder considerar despreciable la resistencia del conmutador.
Por este motivo, la resistencia más pequeña, R/2n-1, al ser de bastante valor, obliga a que R alcance un valor de varios millones de ohmios para palabras de unos cuantos bits.
El problema comentado puede evitarse recurriendo al convertidor con red de resistencias en escalera.
CONVERTIDOR D/A EN ESCALERA
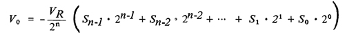
Este tipo de convertidor responde al esquema de la figura 12, en el que la red de resistencias está constituida exclusivamente por dos valores de resistencias, normalmente R y 2.R.

La configuración de la red de resistencias de la figura 12, posee varias propiedades interesantes. Una de ellas consiste en que la resistencia
que se aprecia desde cada uno de los nudos 1,2..., n-1, mirando hacia cualquier dirección es siempre la misma e igual a 2.R. Este hecho da lugar, a que cualquier corriente proveniente de los conmutadores, en estado 1, a través de una resistencia 2.R, se divide en los nudos en dos corrientes iguales de valor mitad a la corriente entrante. Cada vez que esta corriente, en progresión hacia el amplificador operacional, atraviese un nuevo nudo, se volverá a dividir, entrando al amplificador con un valor inversamente proporcional a una potencia de 2, dependiendo del número de nudos. De esta forma se produce la deseada correspondencia poderada de las entradas.
La tensión de salida será:

Siendo Si de valor 0 ó 1, según los valores de los bits de entrada.
Otra ventaja del circuito del presente conversor consiste en que la impedancia desde el operacional es constante (3.R), cualquiera que sea el contenido de las entradas, con lo que se consigue un mejor funcionamiento del amplificador operacional al controlar más fácilmente los offset, colocando a la pata conectada a tierra (entrada +) una resistencia de valor 3.R.
Por último resulta más sencillo conseguir resistencias precisas y estables de un par de valores o tres que de un alto número de valores.
Conceptos destacados :
| analog signal |
(señal analógica). Información cuya magnitud varía de forma continua dentro de ciertos límites. |
| digital signal |
(señal digital). Señal que sólo puede tomar valores discretos, generalmente binarios. |
| analog-to-digital converter (ADC) |
(convertidor analógico-digital). Dispositivo que transforma una señal analógica en una representación digital. |
| digital-to-analog converter (DAC) |
(convertidor digital-analógico). Dispositivo que convierte una palabra digital en una señal analógica. |
| sampling theorem |
(teorema de muestreo). Principio que establece la frecuencia mínima necesaria para reconstruir una señal sin distorsión. |
| sampling frequency |
(frecuencia de muestreo). Frecuencia a la que se toman muestras de una señal analógica. |
| quantization |
(cuantificación). Proceso que asigna valores discretos a una señal muestreada. |
| quantization error |
(error de cuantificación). Diferencia entre el valor real de la señal y el valor asignado tras la cuantificación. |
| encoding |
(codificación). Representación de los niveles cuantificados mediante palabras binarias. |
| multiplexing |
(multiplexado). Técnica que permite transmitir varias señales por un mismo canal. |
| time-division multiplexing (TDM) |
(multiplexado por división de tiempo). Sistema que envía señales muestreadas de forma secuencial. |
| demultiplexing |
(demultiplexado). Proceso de separación de señales previamente multiplexadas. |
| low-pass filter |
(filtro paso bajo). Filtro utilizado para reconstruir la señal analógica a partir de muestras. |
| reference voltage |
(tensión de referencia). Valor de tensión que determina la escala de conversión en un DAC o ADC. |
| resolution |
(resolución). Capacidad del conversor para distinguir pequeños cambios de la señal, dependiente del número de bits. |
| binary word |
(palabra binaria). Conjunto de bits que representa un valor digital de entrada o salida. |
| operational amplifier |
(amplificador operacional). Circuito utilizado en DAC para sumar y acondicionar la señal de salida. |
| weighted resistor DAC |
(convertidor D/A de resistencias ponderadas). DAC que utiliza resistencias con valores proporcionales a potencias de dos. |
| R-2R ladder DAC |
(convertidor D/A en escalera R-2R). DAC basado en una red de resistencias de sólo dos valores. |
| bit weight |
(peso del bit). Contribución relativa de cada bit al valor analógico de salida. |
|