Vocabulario técnico inglés-español – Technical Glossary

Recursos para técnicos y estudiantes – Technical and student resources

Buscar en www.sapiensman.com:


Curvas de imantación

Se ha visto que la inducción magnética, o cantidad de líneas de fuerza por cm2 de sección transveral en el núcleo, no tiene una dependencia directa con la intensidad del campo magnético en que se coloca a dicho núcleo. La saturación hace que la inducción no crezca en la misma proporción en que se hace crecer a la intensidad de campo.

https://youtu.be/SSCtwiQ1wSI

Supongamos que hacemos una instalacion como la de la figura siguiente, con una bobina arrollada sobre un núcleo de hierro, y cuyo circuito eléctrico incluye una resistencia variable qué permite regular la intensidad de corriente.

Figura: bobina arrollada sobre un núcleo de hierro con resistencia variable

La intensidad del campo magnético en el interior del solenoide, es directamente proporcional a la intensidad de corriente que recorre la bobina, pues las demás magnitudes que intervienen en la expresión conocida son constantes para una bobina dada. Quiere decir que, variando la intensidad de corriente, provocamos una variacion proporcional de la intensidad del campo magnético.

En el núcleo tendremos una inducción magnética, que suponemos se pueda medir con instrumentos. Se toman distintos valores de la intensidad de campo, partiendo desde cero hacia las densidades magnéticas crecientes y se determinan los sucesivos valores correspondientes de la inducción magnética en el núcleo de hierro.

Haciendo un gráfico con los pares de valores, se obtiene una curva como la de la figura a continuación, que se denomina: "curva virgen de imantación". Se nota que al principio, la inducción crece casi linealmente con la intensidad de campo magnético, pero luego comienza a tener influencia la saturación del núcleo y finalmente, por más que se aumente la intensidad de corriente en la bobina, es decir, por más que crezca la intensidad de campo, no se tienen apreciables aumentos de la inducción magnética.

Como sabemos que el cociente entre la inducción y la intensidad de campo da la permeabilidad magnética, se puede hacer ese cociente para cada par de valores y obtener una curva que de los valores de de permeabilidad en función de la intensidad de campo. Es el gráfico de la figura siguiente, en el que se nota que el valor de la permeabilidad crece hasta un máximo para decrecer paulatinamente luego, debido a los efectos de la saturación magnética del núcleo.

Cualquiera de las dos curvas presta utilidad para resolver los problemas prácticos referentes a núcleos de hierro, los que no tienen una permeabilidad constante. Damos a continuación una tabla con los valores más comunes de la inducción y la permeabilidad magnética de distintos materiales empleados en la práctica.

Ejemplo.

Calcular el número de Amper-vueltas necesarios para producir en el entrehierro del núcleo del croquis, un flujo magnético de 1.000.000 de Maxwell.

Solución

La sección transversal del entre-hierro es de 100 cm2, luego la inducción magnética será:

La inducción magnética en las ramas del núcleo que son de hierro dulce, se calcula en la misma forma, y como la sección transversal es también de 100 cm2:

En la rama de acero templado, la inducción será:

Con estos valores de la inducción se entra en las tablas dadas más arriba, para encontrar el valor de la permeabilidad magnética en cada rama.

Para el hierro dulce, encontramos que a una inducción de 10000 corresponde una permeabilidad de 4000 obtenida por proporción. Para el acero templado, hay dos valores entre los cuales está comprendido el que interesa:

es decir que, cuando la inducción crece en 5540 líneas, la permeabilidad crece en 12 unidades. Por proporción, se obtiene:

luego, la permeabilidad del acero templado, para una inducción de 8000 líneas es:

86 + 8 = 94

Para poder calcular la reluctancia magnética total del núcleo, hay que determinar las longitudes de las líneas de fuerza medias:

Ahora, se determina la reluctancia magnética total del núcleo, aplicando la expresión válida para acoplamiento de reluctancias en serie :

que en nuestro ejemplo se reemplaza por los valores numéricos respectivos:

De la ley de Hopkinson se deduce el número de amper-vueltas, por simple transposición de términos:

con lo que, reemplazando valores, se tiene:

nI = 0,8 X 1000000 X 0,0088 ≈ 7000 amper-vueltas

Histéresis

Realicemos nuevamente el montaje de la figura siguiente,

Figura: bobina arrollada sobre un núcleo de hierro con resistencia variable

para tener variaciones de la intensidad del campo magnético, producidas regulando la corriente con la resistencia variable, pero incluyamos un dispositivo para invertir el sentido de circulación de la corriente. Sabemos que el sentido de las líneas de fuerza del campo depende del sentido de la corriente, de modo que al invertir ésta, se invertirá tainbién el sentido del campo, y, por ende, la inducción en el núcleo de hierro.

Si se llevan a un gráfico los valores de la inducción y la intensidad de campo, para valores crecientes de esta última, se obtiene la curva virgen de imantación, OS graficada a continuación,

Figura : curva vírgen de imantación y ciclo de histéresis

Si llegado al punto S, se hace disminuir la intensidad de corriente en la bobina, decrecerán la intensidad de campo y la inducción, pero no se obtendrán los mismos valores que para la curva inicial, sino que la inducción se mantendrá siempre por encima de la curva virgen, según la curva SA. De modo que, anulándose la intensidad de corriente, es decir, cuando ya no existe el campo magnético en la bobina, persiste un valor de la inducción, esto es, el núcleo queda magnetizado con un valor OA, llamado: magnetismo remanente.

Esto explica la producción de imanes artificiales con trozos de hierro que se colocan dentro de campos magnetico. Al retirarlos, quedan imantados.

Si se invierte ahora el sentido de la corriente, el cámpo cámbia de sentido, y se tienen valores hacia el otro lado del eje vertical. Para un cierto valor del campo, la inducción se anula. Ese valor de la intensidad de campo, OB, se llama: fuerza coercitiva.

Si se sigue aumentando en el nuevo sentido la intensidad de campo, se llega al punto S' que es simétrico al S, y que también es el punto de saturación del núcleo.

Disminuyendo, ahora el valor de la corriente, se llega al punto A', simétrico del A, que da el valor del magnetismo remanente OA', igual al OA; la fuerza coercitiva OB' y llegando finalmente al punto S, después de describir una figura cerrada, llamada: "ciclo de histéresis".

La superticie encerrada por el ciclo de histéresis representa un cierto trabajo de imantación, directamente proporcional a aquella, que se transforma en calor. Los núcleos de las bobinas sometidas a campos magnéticos variables sufren el fenómeno descripto, por lo que experimentarán una elevación de temperatura, que debe preverse en los cálculos técnicos.

Steinmetz da una fórmula empírica para calcular las pérdidas por histéresis, referidas a un Kilogramo de núcleo:

donde la potencia de pérdidas está dada en Watt; f es el número de ciclos cumplidos en un segundo; B es la inducción máxima a que se llega y η un coeficiente numérico, cuyo valor para los materiales comunes es:

Problemas de ejemplo.

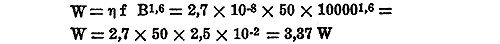
Determinar las pérdidas por histéresis, por kilogramo de chapas de hierro dulce, sometidas a una inducción magnética de 10000 Gauss, si el número de ciclos cumplidos. por segundo es igual a 50.

El coeficiente de pérdidas, para el hierro dulce, vale 2,7 X 10-8 Aplicando la fórmula vista, se tiene:

Electroimanes.

Aprovechando las fuerzas actuantes en un campo magnético, se construyen dispositivos capaces de levantar pesos, cuya forma esquemática se ve en la figura siguiente.

Figura : electroimán

La parte suelta inferior se denomina: armadura y la superior: culata. Pueden tener una o dos ramas, que constituyen los núcleos de las bobinas recorridas por corriente eléctrica. Si las piezas a levantar son de hierro (caños, barras, etc.), se suprime la armadura y se aplica el electroimán directamente sobre las mismas.

El peso que puede ievantar un electroimán se llama "fuerza portante", y su valor depende de la inducción magnética y de la sección transversal del núcleo. Para deducir el grandor de dicha fuerza se puede considerar la presión magnética por analogía con la presión eléctrica.

Expresión que es válida para el circuito magnético, y que da la presión magnética en función de la intensidad del campo. Si el imán tiene núcleo de hierro (electroimán) la densidad magnética es B, y reemplaza a H en la fórmula:

Como la superficie de contacto entre la culata y la armadura es S, la fuerza total se calcula multiplicando ambos factores:

En el cálculo de electroimanes, es común adoptar un cierto valor de la inducción magnética, en cuanto se conoce el material que formará el núcleo, obteniéndose de las curvas o tablas de imantación el valor para B; y resulta inmediatamente la sección necesaria:

y como la intensidad de campo magnético, necesaria para obtener el valor de inducción fijado, la podemos encontrar en la tabla del material del núcleo, se recurre a la expresión de H, ya conocida para solenoides, en la que las incógnitas serán: n e I, de modo que se tiene:

es decir, que el número de Amper-vueltas, pues así se denomina al primer miembro de la ecuación anterior, está dado por el producto de la intensidad de campo y la longitud magnética media del núcleo, salvo un coeficiente numérico.

Conocido el número de Amper-vueltas necesario, es cuestión de adoptar uno u otro de los valores, ya sea en base a la potencia eléctrica que se debe gastar, ya sea en función de la resistencia eléctrica que debe presentar el bobinado, etc. En la expresión anterior, la longitud magnética media resulta de adoptar una forma para el núcleo, pero como se conoce la sección, es fácil dimensionar proporcionalmente el resto del aparato.

Problema de ejemplo.

Calcular el número de Amper-vueltas necesarios para un electroimán que debe levantar 2 toneladas, si el núcleo se hace con un material que admite una inducción de 10000 Gauss.

Solución

Calculamos la sección necesaria, de acuerdo con la fórmula dada:

De las tablas de permeabilidad para el hierro dulce (ver arriba), obtenemos:

para B = 10000 .......................... H = 2,5

Con lo que se puede aplicar la fórmula qué da el número de Av, pero es necesario conocer la longitud magnética media del núcleo. De acuerdo con la sección que ha resultado, se adopta una longitud de 200 cm.