|
Introduction to Equations
Translating words into algebraic symbols. In the first chapter we learned that a letter is often used in algebra to represent a number. We then learned to use these literal numbers to translate verbal expressions into algebraic expressions. These are the first steps that are necessary in writing algebraic equations.
ILLUSTRATIVE EXAMPLES: Equations
1. Write the following verbal statement using algebraic symbols; "A certain number, when increased by 11, is equal to 37."
Solution. We represent the certain number by some letter, say x. Next we translate the sentence into algebraic symbols as follows:

2. Write the following verbal statement using algebraic symbols: "Twice a certain number is equal to ten."
Solution. We represent the certain number by x. Twice the certain number can then be represented by 2x. Next we translate the sentence into algebraic symbols as follows:

The algebraic statements x + 11 = 37 and 2x = 10 are examples of equations.
An equation is an algebraic statement of the fact that two quantities are equal. In every equation, the equal sign separates the equation into two parts; the part on the left of the equal sign is called the left member of the equation and the part on the right side is called the right member of the equation. Thus in the equation x + 11 = 37, the left member is x +11 and the right member is 37; in the equation 2x = 10 the left member is 2x and the right member is 10.
The equations illustrated were expressed in terms of x, but equations may be expressed in terms of y or z or any convenient letter.
EXERCISES: Writing equations
Write each of the following statements in the form of an equation:
1.
A number x, when increased by 7, is equal to 50.
2.
A number x, when multiplied by 4, is equal to 20.
3.
A number y, when divided by 6, is equal to 18.
4.
A number y, when diminished by 40, is equal to 25.
5. If 9 is added to a certain number z, the sum is 22.
6. If 12 is subtracted from a certain number z, the result is 3.
7.
The sum of a certain number x and 15 is 34.
8.
If a number x is divided by 7, the quotient is 4.
9.
If a number y is multiplied by 6, the product is 28.
10.
The product of the numbers x and y is 75.
Answers : 1. x + 7 = 50. 2. 4x = 20. 3. y/6= 18. 4. y - 40 = 25. 5. 9 + z = 22. 6. z - 12=3 .7. x + 15 = 34. 8. x/7 = 4. 9. 6y = 28. 10. xy = 75.
Symbol of equality. When problems in algebra were expressed entirely with words, equality between quantities was expressed by the Latin word aequalis. Later it was
abbreviated to ae, and still later to . It was not until about 1700 that the use of our present equality sign was generally accepted.
Solution of simple equations. An equation such as x + 11 = 37 may be expressed verbally as "There is some number which, when increased by 11, equals 37." The equation may also be worded as a question: "What number, when increased by 11, equals 37?" To solve this equation is to find the number which answers the question. The answer here is clearly 26. In an equation, the letter whose value we are seeking is usually referred to as the unknown letter or the unknown. The value of the unknown letter which makes the equation true is said to be the value that satisfies the equation.
Some equations have more than one answer; that is, two or more numbers
may satisfy an equation. In other pages ahead you will learn to solve equations that have more than one answer. At present all equations that we will solve will have only one answer.
ILLUSTRATIVE EXAMPLES: Solving equations
1. Solve the equation x + 3 = 11.
Solution. The equation asks the question, "What number, when added to 3, gives 11?" The answer is 8. It is unnecessary to indicate every step in writing your solution. With practice you will ask the question mentally and then write the answer beneath the original equation. |
 |
2. Solve the equation y -2 = 6.
Solution. The equation asks, "Two subtracted from what number equals 6?" Since 2 subtracted from 8 gives 6, the answer is 8. |
 |
3. Solve the equation y/5 = 7
Solution. The equation asks, "What number, when divided by 5, equals 7?" Since 35 divided by 5 equals 7, the answer is 35. |
 |
EXERCISES: Solving equations
Solve each of the following equations:

Answers : 1. 3. 2. 5. 3. 5. 4. 3. 5. 15. 6. 15. 7. 5. 8. 11. 9. 6. 10. 3. 11. 20. 12. 10. 13. 5. 14. 3. 15. 18. 16. 9. 17. 9. 18. 80. 19. 0. 20. 1. 21. 7.
Fundamental rules for solving equations. Have you ever tried to play a game when the rules were not understood by the boys or girls taking part in it? Wasn't there much bickering and misunderstanding? In mathematics,
as well as in sports, it is necessary that we become familiar with the rules and procedures which will help us do a satisfactory job. Solving equations is an important part of algebra. Thus far we have been able to solve all equations by inspection. Later, with more difficult equations we will need to apply systematic methods to solve them. In the next few paragraphs, we will discuss some of these methods. The equations we will solve for the present will still be simple ones, and we will probably be able to give the answers by inspection, but we must be sure that we follow closely the new methods, and be sure that we understand each method that is explained.
METHOD 1: Subtracting the same number from both members of an
equation
.An equation can be compared to a pair of scales that are in balance. In the equation x + 4 = 7, the left member of the equation corresponds to the number of units of weight, say pounds, on the left side of the scales; and the right member of the equation corresponds to the number of units of weight on the right side of the scales. Since the left and right members
of the equation are equal, the left and right sides of the scales balance each other. If we remove 4lb. from
the left side of the scales, the right side becomes the heavier side, and the scales are no longer in balance.
To make the scales come into balance again, how many pounds should be removed from the right side of the scales? The answer, of course, is 4. If 4 lb. are removed from the right side, which originally contained 7 lb., we will have 3 lb. left. Since the scale is now in balance, we have x pounds on the left side balancing 3lb. on the right side.
This can be expressed in the equation x = 3, and we have found the value of x in the equation x + 4 = 7. In removing (subtracting) 4lb. from each side of the scales, we have seen that the scales remain in balance. |
 |
We can apply this same principle to an equation:
- A number may be subtracted from one member of an equation provided that same number is subtracted from the other member of the equation.
The algebraic solution of the equation x + 4 = 7 is written as follows:
x + 4 = 7
Subtracting 4 from both members x + 4 - 4= 7 - 4
Collecting like terms x = 3 Answer
We can always check the accuracy of our work by substituting the number that we have found in the original equation. Substituting 3 for x in the original equation x + 4 = 7, we have 3 + 4 = 7, and the answer x = 3 is correct.
EXERCISES: Solving equations
Solve each of the following equations by subtracting the same number from both members of the equation:

Answers: 1. 3. 2. 6. 3. 2. 4. 5. 5. 5. 6. 11.

Answers: 7. 7. 8. 0. 9. 16. 10. 1. 11. 14. 12. 36. 13. 3. 14. 0. 15. 1 3/4. 16. 4 2/3. 17. 11. 18. 4.3. 19. 13.5. 20. 2.43. 21. 0.1.
METHOD 2: Adding the same number to both members of an equation
Let us consider the equation x - 5 = 6. The left member of the equation corresponds to the number of units of weight on the left side of the scales, and the right member of the equation corresponds to the number of units of weight on the right side of the scales. If we add 5 units of weight to both the left and right sides of the scales, the scales will remain in balance. This can be compared to the equation x = 11, and thus we have found the value of x in the equation x - 5 = 6. In adding 5
units of weight to both sides of the scales, we have seen that the scales remain in balance. We can apply this same principle to an equation: |
 |
- A number may be added to one member of an equation
provided that same number is added to the other
member of the equation.
The algebraic solution of the equation x - 5 = 6 is written as follows:
x - 5 = 6
Adding 5 to each member x - 5 + 5 = 6 + 5
Collecting x = 11 Answer
Check. Substituting 11 for x in the equation:
11 - 5 = 6
6 = 6 Check
EXERCISES: Solving equations
Solve each of the following equations by adding the same number to both members of the equation:

Answers : 1. 12. 2. 15. 3. 14. 4. 7. 5. 17. 6. 32. 7. 21. 8. 8.8. 9. 6.3. 10. 13.3. 11. 7 1/2 12. 42. 13. 11. 14. 7/5 . 15. 10.1. 16. 44.1. 17. 5.1. 18. 4.81. 19. 2.82. 20. 2.07. 21. 3.13.
METHOD 3: Dividing both members of an equation by the same number :
Let us consider the equation 2x = 16. The left member of the equation corresponds to the number of units of weight on the left side of the scales, and the right member of the equation corresponds to the number of units of weight on the right side of the scales. If we remove half of the number of units of weight from each side of the scales, the scales will remain in balance. This can be compared to the equation x = 8, and we have fomid the value of x in the equation 2x = 16. In dividing the weights on each side of the scales by the same number, we have seen that the scales remain in balance. We can apply this same principle to an equation: |
 |
- One member of an equation may be divided by any number (except zero) provided that the other member of the equation is divided by that same number.
The algebraic solution of the equation 2x = 16 is written as follows:

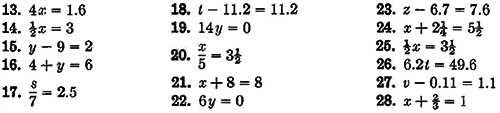
EXERCISES: Solving equations
Solve each of the following equations by dividing each member of the equation by the same number:

Answers : 1. 9. 2. 9. 3. 3. 4. 12. 5. 5. 6. 13. 7. 4. 8. 10/3 . 9. 0. 10. 8.4. 11. 6. 12. 0.12.
METHOD 4: Multiplying both members of an equation' by the same number
Let us consider the equation x/3 = 4 The left member of the equation
corresponds to the number of units of weight on the left side of the scales, and the right member of the equation corresponds to the number of units of weight on the right side of the scales. If we triple (multiply by 3) the number of units of weight on each side of the scales, the scales will remain in balance. This can be compared to the equation x = 12, and we have found the value of x in the equation x/3 = 4.
In multiplying the weights on each side of the scales by the same number, we have seen that the scales remain in balance. We can apply this same principle to an equation:
- One member of an equation may be multiplied by a number provided the other member of the equation is multiplied by that same number.
The algebraic solution of the equation x/3 = 4 is written as follows:

Check. Substituting 12 for x in the equation:

EXERCISES: Solving equations
In ex. 1-12 solve each of the equations by multiplying each member of the equation by the same number.

Solve each of the following equations and state what you have done to each member of the equation.

Answers:

Summary. In the preceding work in this chapter, you have learned to solve simple equations by adding, subtracting, multiplying, or dividing both members of an equation by the same number. We shall next consider some equations where we will need to use more than one of these methods to solve each equation.
ILLUSTRATIVE EXAMPLES: Solving equations
1. Solve the equation 2x -5 = 9.
Solution. Given equation 2x - 5 = 9
Adding 5 to each member
of the equation 2x - 5 + 5 = 9 + 5
Collecting 2x = 14
Dividing each member of the equation by 2 :

We obtain x = 7 Answer
Check. Given equation 2x -5 = 9
Substituting 7 for x 2(7) - 5 =9
Simplifying 14 -5 = 9
Combining terms in the
left member 9 = 9 Check
2. Solve the equation 

EXERCISES: Solving equations
Solve each of the following equations and check your answer:

Answers : 1. x = 5. 2. x = 7. 3. y = 3. 4. x = 6. 5. y = 1. 6. x = 20 . 7. z = 6. 8. x = 7. 9. x = 24. 10. y = 8. 11. t = 1. 12. x = 6. 13. v = 2. 14. x = 56. 15. y = 6.
|