|
Movimiento uniformemente acelerado. Aceleración
Movimiento uniformemente acelerado. Aceleración
El movimiento uniformemente acelerado es aquel en el que la velocidad de un objeto cambia en igual proporción durante cada unidad de tiempo. La aceleración es la magnitud física que describe la variación de la velocidad en el tiempo. Se mide en metros por segundo al cuadrado (m/s²).
Inglés:
Uniformly accelerated motion. Acceleration
Uniformly accelerated motion refers to motion where the velocity of an object changes by the same amount in each unit of time. Acceleration is the physical quantity that describes the rate of change of velocity over time. It is measured in meters per second squared (m/s²).
En general, la velocidad de un cuerpo es una función del tiempo. Si la velocidad
permanece constante, se dice que el movimiento es uniforme.

Figura movimiento de un cuerpo
Refiriéndonos
a la figura anterior, supongamos que en el tiempo t el objeto se encuentra
en A con una velocidad v y en el tiempo t' en B con una velocidad v'. La aceleración promedio entre A y B está definida por

donde Δv = v' — v es el cambio en la velocidad y, como antes, Δt = t' — t es
el tiempo transcurrido. Luego la aceleración promedio durante un cierto intervalo de tiempo es el cambio en la velocidad por unidad de tiempo durante el intervalo
de tiempo.
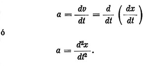
La aceleración instantánea es el valor límite de la aceleración promedio cuando
el intervalo Δt es muy pequeño. Esto es,

de modo que obtenemos la aceleración instantánea calculando la derivada de
la velocidad con respecto al tiempo. Operacionalmente, se encuentra la aceleración instantánea observando el pequeño cambio de la velocidad diferencial dv que tiene lugar en el intervalo muy pequeño de tiempo, diferencial de tiempo dt. En el futuro, cuando digamos
“aceleración”, nos estaremos refiriendo a la aceleración instantánea.
En general, la aceleración varía durante el movimiento. Si el movimiento
rectilíneo tiene una aceleración constante, se dice que el movimiento es uniformemente acelerado.
Si la velocidad aumenta en valor absoluto con el tiempo, se dice que el movimiento es “acelerado”; pero si la velocidad disminuye en valor absoluto con
el tiempo, el movimiento se denomina “retardado”.
Si conocemos la aceleración, podemos calcular la velocidad integrando la (ec. 1).
De la ec. (ec. 1) tenemos dv = a dt, e, integrando, obtenemos

donde v0 es la velocidad en el tiempo t0. Luego, como

entonces
(ec. 2)
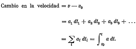
Como en el caso del desplazamiento, el significado físico de la (ec. 2) es fácilmente comprensible. Sabemos que a dt nos da el cambio en la velocidad durante
un intervalo de tiempo dt. Luego, dividiendo el intervalo t — t0 en pequeños
intervalos sucesivos de tiempo dt1, dt2, dt3, ..., encontramos que los cambios correspondientes en la velocidad son a1dt1, a2dt2, a3dt3, ..., donde a1, a2, a3, ...
son los valores de la aceleración en cada intervalo de tiempo, y el cambio total v - v0 de la velocidad entre t0 y t es la suma de éstos. Esto es,

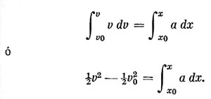
La aceleración se relaciona también con la posición combinando las ecuaciones

Otra relación importante entre la posición y la velocidad puede obtenerse de
la siguiente manera a partir de éstas ecuaciones.
Figura : Relación vectorial entre la velocidad y la aceleración en el movimiento
rectilíneo.
Integrando, obtenemos

Esta ecuación es particularmente útil para calcular la velocidad cuando la relación entre x y a es conocida, de modo que la integral puede evaluarse.
En el sistema MKSC, la aceleración se expresa en metros por segundo, o (m/s)/s = m s-2, siendo ésta la aceleración de un cuerpo cuya velocidad aumenta
un metro por segundo en cada segundo, con aceleración constante. Sin embargo la aceleración puede también expresarse en otras unidades, tal como (mi/hr)/s.
Su definición es la siguiente:
| Aceleración es el cociente o razón entre la variación o incremento de velocidad e intervalo de tiempo transcurrido. |
Aceleración media e instantánea. La aceleración es la razón entre la variación (Δv) de velocidad y la variación correspondiente (Δt) del tiempo.
Luego, se tiene, en símbolos:

Si el tiempo Δt es cualquiera, es decir no despreciable, la aceleración definida es una aceleración media.
Si, al contrario, por su poca duración Δt puede considerarse como un instante, la aceleración es instantánea.

Figura 8. La velocidad varía sin relación al tiempo empleado.
La variación de velocidad Δv es siempre la diferencia entre la segunda y la primera velocidad considerada.

Figura 9. Representación gráfica de un movimiento variado.

Figura 10. Aceleración
Ejemplo. Un móvil pasa por un punto A con velocidad v1 (figura 10) en el instante t1 y por el punto B con velocidad v2 en el instante t2.
Su aceleración será

siempre la segunda velocidad menos la primera.
Representación gráfica del movimiento uniformemente acelerado.
1º El móvil sale del estado de reposo (fig. 10a).
Se traza una abscisa AB, y se la divide en partes iguales, que representan las unidades de tiempo (0", 1", 2", 3", ... t").
Por cada uno de los puntos 1, 2, 3, t, se levanta una ordenada, cuya longitud ha de ser proporcional a la velocidad en el tiempo correspondiente (0, a, 2a, 3a , .. at), respectivamente
Luego se une por una recta AC, los puntos extremos de dichas ordenadas y se tiene formado así un triángulo de base t y de altura at, cuya superficie nos dará también la fórmula de los espacios recorridos.

Figura 10a. Aceleración
| Superficie = espacios = |
 |
La velocidad final está indicada por la última ordenada:
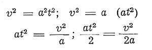
v = at
Si se elimina el factor t elevando al cuadrado, se tiene:

Hacien reemplazos, se obtienen las fórmulas

Luego, resumiendo, en el movimiento uniformemente acelerado sin velocidad inicial se tiene :

Ejemplo: Calcular la velocidad de un cuerpo que cae de una torre
de 90 m. de altura, siendo a = g = 9,80 m/seg2.
Según las fórmulas vistas :

Luego, después de 90 m. de caída, el cuerpo, posee una velocidad
de 42 m por segundo.
Unidades de aceleración
Si

(La expresión [a] se lee unidad de aceleración)
| La unidad de aceleración es igual a la unidad de velocidad sobre la unidad de tiempo. |
por lo tanto,

Problema
Un móvil pasa por la localidad A, a razón de 55 m/min, a las 12:22 horas, y por la localidad B, a razón de 67 m/min a las 12:25 hs. ¿Cuál es la aceleración del móvil?


Figura 11. Aceleración es el cociente entre velocidad y tiempo.
SIGNIFICADO DEL VALOR DE LA ACELERACIÓN
En el ejercicio anterior, la aceleración resulta 4 m/min2 , cuyo significado es el siguiente: el móvil aumenta su velocidad 4 m/min cada minuto. Si la aceleración fuera de 5 km/h2 significaría que el móvil aumenta su velocidad 5 km/h cada hora.
La aceleración será positiva o negativa segun que la diferencia sea positiva o negativa, respectivamente.
En símbolos:
a) Si V2 > V1 es
V2 - V1 = a positiva;
b) Si V2 < V1 es
V2 - V1 = a negativa.
Ejemplo. Si el móvil pasa por A a razón de 20 m/seg y por B a razón de 12 m/seg en un intervalo de tiempo de 4 seg, la aceleración será

En este caso, la aceleración es negativa, pues el móvil ha disminuido su velocidad a razón de 2 m/seg cada segundo.
Leyes del movimiento uniformemente acelerado.
1º La aceleración es constante.
2º Las velocidades son proporcionales a los tiempos.
En efecto, si para un tiempo t1
v1 = at1
y para un tiempo t2
v2 = at2
al dividir ordenadamente estas dos igualdades tendremos:

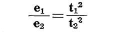
3º Los espacios son directamente proporcionales al cuadrado de los tiempos.
En efecto:
e1 = at12 y e2 = at22
Dividiendo ordenadamente:

MOVIMIENTO UNIFORMEMENTE ACELERADO
Cálculo del espacio en el movimiento uniformemente variado
El espacio en un movimiento uniformemente acelerado se calcula mediante la expresión

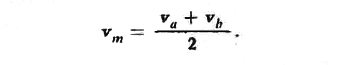
Cuando decimos que Antonio ganó a razón de 195 km/h, ¿qué significamos? Que consideramos una velocidad media o promediada.
La velocidad promedio entre dos puntos de un trayecto es igual a la semisuma de las velocidades en dichos puntos; o sea,

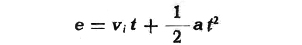
Consiguientemente, debemos considerar que la velocidad promedio es una velocidad uniforme. Con esta condición, y recordando que en el movimiento uniforme el espacio es igual al producto de la velocidad por el tiempo, resulta
e = v t.
Si la velocidad es la velocidad promedio vm queda



Por lo tanto, el espacio recorrido por un móvil con movimiento uniformemente acelerado es igual a la velocidad inicial por el tiempo, más un medio de la aceleración por el cuadrado del tiempo.
Si el cuerpo parte del reposo,

Luego, en un movimiento uniformemente acelerado puede o no haber velocidad inicial.
Resumiendo lo expuesto, resultan las siguientes leyes:
1. En un movimiento uniformemente acelerado, la aceleración es constante;
2. De la fórmula v = a t, siendo a constante, resulta que la velocidad en un movimiento uniformemente acelerado es directamente proporcional al tiempo;
3. De la expresión de espacio e =1/2 a t2 siendo a constante, resulta que el espacio recorrido con movimiento uniformemente acelerado es directamente proporcional al cuadrado del tiempo. |
Esta última propiedad significa que si a = 2 cm/seg2, es:

Por lo tanto, si en 1 seg recorre 1 cm; en 2 seg, 4cm (22 ); en 3 seg. 9cm (32); en 4seg, 16cm (42), se ve que el espacio varía con el cuadrado del tiempo.
Lo cual, dicho con otras palabras, es: a doble tiempo, cuádruple espacio: a triple tiempo espacio nueve veces mayor; a cuadruple tiempo, espacio dieciséis veces mayor (fig.15 a y b).
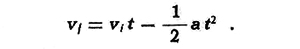
MOVIMIENTO UNIFORMEMENTE RETARDADO (MUR)

Figura 14. Movimiento uniformemente retardado

Figura 15a. Representación gráfica de la velocidad en función del tiempo.

Figura 15b. Gráfica del espacio en el MUA en función del tiempo.

Fig.16. Representación gráfica de la velocidad en un MUR
En este caso se aplica la misma fórmula que en el caso anterior, pero teniendo presente que la aceleración es negativa (fig.16), es decir,

| Luego, en un movimiento uniformemente retardado, siempre deberá haber velocidad inicial. |
|