|
EQUILIBRIO DE LOS CUERPOS
Estado de un cuerpo en el que las fuerzas que actúan sobre él se equilibran mutuamente, de manera que no se produce aceleración ni movimiento neto. Esto significa que la suma de todas las fuerzas y de todos los momentos que actúan sobre el cuerpo es igual a cero.
Inglés:
Equilibrium of bodies (Física. Equilibrio de los cuerpos):
A state of a body in which all acting forces are balanced, resulting in no net acceleration or motion. This means that the sum of all forces and all moments acting on the body is equal to zero.
Puede ocurrir que el cuerpo que estudiamos se encuentre suspendido o apoyado; para cada caso, las condiciones que han de observarse son distintas. Por ello, consideraremos:
a) Equilibrio de los cuerpos suspendidos;
b) Equilibrio de los cuerpos apoyados.
Equilibrio de los cuerpos suspendidos
Con la misma. lámina de cartón con que determinamos el centro de gravedad, realicemos estas experiencias:
a) Suspendamos el cartoncito libremente por el punto 0, situado sobre el centro de gravedad. Si lo golpeamos con el dedo, observaremos que vuelve a la posición primitiva (fig.23). En G', la fuerza P' tiende a hacer volver la lámina a su posición inicial. En estas condiciones, decimos que el cuerpo está en equilibrio estable;

Figura 23. El centro de gravedad está debajo del punto de suspensión.
b) Suspendamos el cartoncito, pero de modo que su punto de suspensión se encuentre situado debajo del centro de gravedad (figura 24). Apliquemos una pequeña fuerza y veremos que el cuerpo gira alrededor del punto O, pasando a la posición B. ¿Qué ha ocurrido?
En la posición A, la fuerza P está anulada por la reacción del soporte. En la posición B, la fuerza P' no tiene oposición y hace que el cuerpo pase a la posición C. En este caso, el cuerpo se halla en equilibrio inestable;

Figura 24. Equilibrio inestable.

Figura 25. Equilibrio indiferente
c) Finalmente, suspendamos la misma lámina atravesándole un alfiler por el centro de gravedad. La colocamos en posiciones distintas y vemos que en cualquiera de ellas permanece en equilibrio. En este caso tenemos el equilibrio indiferente (fig. 25).
De todo lo cual deducimos la siguiente clasificación:
a) EQUILIBRIO ESTABLE. El punto de suspensión está sobre el centro de gravedad (fig. 26);

Figura 26. Ejemplo de equilibrio estable.

Figura 27. Centro de gravedad fuera del cuerpo.
b) EQUILIBRIO INESTABLE. El punto de suspensión está debajo del centro de gravedad (fig. 27);

Figura 28. La rueda y la hélice poseen equilibrio indiferente.
e) EQUILIBRIO INDIFERENTE. El punto de suspensión coincide con el centro de gravedad (fig.28).
Equilibrio de los cuerpos apoyados
En la clase de educación física, al realizar el ejercicio de flexión de piernas con manos a la cintura (figura 29), ¿cuándo logramos el equilibrio?

Figura 29. Equilibrio estable de cuerpo apoyado.
Al efectuar la prueba de mantener un paraguas sobre la palma de la mano en la posición que indica la figura 30, ¿cuándo logramos el equilibrio?

Figura 30. El paraguas está en
equilibrio estable cuando la vertical que pasa por G cae
en la base de sustentación.
Un trompo (fig.31), ¿cuándo queda vertical?

Figura31. El trompo, al girar, posee equilibrio estable.
En todos estos casos, el equilibrio se consigue al lograr que la vertical trazada por el centro de gravedad pase por la base de sustentación del cuerpo.
Base de sustentación
Base de sustentación del cuerpo es la figura que se forma en el plano al unir los puntos de contacto del cuerpo con dicho plano (fig. 32).


Figura 32. Las figuras ABCD y ABC son las base, de sustentación
Si la vertical que pasa por el centro de gravedad cae fuera de la base de sustentación, el equilibrio es inestable. En cambio, si para cualquier posición del cuerpo la vertical que pasa por el centro de gravedad cae en la base de sustentación, el equilibrio es indiferente (fig. 34).

Figura 33. Equilibrio estable de
cuerpos apoyados.

Figura 34. Los automóviles de carrera poseen equilibrio estable, pues su centro de gravedad está lo mes cerca posible del suelo.
También podríamos decir que el equilibrio es estable cuando el centro de gravedad ocupa su posición más cercana a la base de sustentación.
Es el caso de un lápiz parado y acostado (fig. 35), donde, en el primer caso, el equilibrio es inestable, pues G no está en la posición más cercana a la base de sustentación, como en el otro caso.
Variación del centro de gravedad
Un camión cargado, ¿tiene el mismo centro de gravedad que cuando está descargado? No, porque, al estar cargado su centro de gravedad baja, y de ese modo el camión tiene mayor estabilidad (siempre, claro está, que la carga no salga de la caja del camión).
Una hoja de cuaderno tiene el centro de gravedad en la intersección de sus diagonales. Si la transformamos en una pelotita de papel, el centro de gravedad será el centro de esa pelota.

Figura 35. Otras formas de equilibrio en cuerpos apoyados, donde aquél depende de la distancia de G respecto del plano de apoyo: a. estable: b. inestable: c. indiferente.

Figura 36. Equilibrio inestable de cuerpos apoyados
Supongamos un alambre cilíndrico, homogéneo, de 10 cm. Su centro de gravedad está en su punto medio. Doblemos en ángulo recto ese alambre (fig.36 bis). El centro de gravedad será el indicado en dicha figura (el peso P
es la suma de los pesos parciales P1 y P2, cuyo punto de aplicación es G).
PESO ESPECÍFICO
La experiencia diaria nos indica que todos los cuerpos no pesan igual, a pesar de que posean igual tamaño o volumen. Así, por ejemplo, si disponemos de cubos de hierro, de corcho, de aluminio, de madera, de plomo, etc., de 1 cm de lado, todos no pesan lo mismo; es decir que, específicamente, cada sustancia determinada posee un peso, que llamamos peso específico.
Supongamos que 25 cm3 de hierro pesen 1950 g; diremos, entonces, que si

Al dividir 1950 (peso) por
los 25 cm3 (volumen), obtenemos
el valor 7,8 /cm3, que denominamos peso específico.
Luego, se llama peso específico al cociente entre el peso de un
cuerpo y su volumen.
También podría decirse que el peso específico es el peso de la unidad de volumen.
En símbolos (tomando ρ como peso específico),
ρ = P/V
Recordemos que 1 litro de agua pesa 1 y ocupa 1 dm3; por eso, el peso específico del agua es 1 / dm3, o 1 cl de agua pesa 1 y ocupa 1cm3, o también 1 kl de agua pesa 1 t (1000 ) y ocupa
1 m3
(1000 dm3)
De estas relaciones se deducen las correspondencias entre las unidades de peso y las de volumen. Así quedan establecidas las unidades de peso específico que son las siguientes:

Estas unidades deben ser siempre indicadas al dar el peso específico de una sustancia.
De la expresión

que permiten calcular, el peso o el volumen de un cuerpo conociendo su peso específico y el volumen o peso. respectivamente.
Determinación experimental del peso específico
Si el peso específico es la relación entre el peso y el volumen, el proceso para poder calcularlo es el siguiente:
a) Averiguar el peso;
b) Averiguar el volumen.
a) AVERIGUACION DEL PESO DE UN CUERPO. Evidentemente, esto se logra mediante una balanza de precisión.
b) AVERIGUACIÓN DEL VOLUMEN.
Introducimos el cuerpo dentro de una probeta graduada, con líquido suficiente para cubrir al cuerpo. La variación del nivel, provocada por la inmersión del
cuerpo (propiedad de impenetrabilidad de los cuerpos) nos indica sobre la escala de la probeta el volumen del cuerpo, expresado en centímetros cúbicos (fig. 37).
Supongamos que no disponemos de probeta graduada. Procedemos así: llenamos al ras un vaso o frasco de boca ancha con agua
(fig.38); introducimos el cuerpo en estudio, con lo que parte del
liquido será desalojado (impenetrabilidad de los cuerpos). Como
habremos dispuesto el vaso o frasco
dentro de otro, podremos pesar
el agua desalojada. Sabemos que 1 g de agua equivale a 1 cm3 ; luego el volumen del cuerpo introducido será equivalente a los gramos de agua desalojados.

Figura 37. Al introducir el cuerpo, asciende el nivel de agua, lo cual indica el volumen del cuerpo en la escala adicionada.

Figura 38. El volumen de un cuerpo será de acuerdo con los gramos de agua desalojados.
TABLA DE PESOS ESPECÍFICOS (en g/cm3)

El peso específico de una sustancia es una constante para una temperatura
dada, por ejemplo 0 ºC, y para valores determinados de la aceleración de la gravedad.
Si la temperatura se modifica, el volumen varía y, por lo tanto, también el peso específico. Como para ceda latitud la aceleración
de la gravedad también varía, el peso específico también variará.
Problemas resueltos
1 - ¿Cuánto pesará el papel de aluminio (cuyo peso específico es 2,7) del envoltorio
de un chocolate si su espesor es 0,012 mm, su largo es 152,3 cm y su ancho es 8.1 cm?
Solución
Como

es decir que el volumen será

Respuesta : 3,996 
2 - El peso específico de la glicerina es 1,26. ¿Qué unidades le corresponden?
Solución
Como
ρ = P/V = peso específico (rho)
las unidades son
1,26 /dm3, 1,26 /cm3 o 1,26 tm/m3
3 - El peso específico de la arena es 2 /dm3 ¿Cuánto pesa 1,5 m3 de la misma?
Solución
Como
ρ = P/V
es
P = ρ V,
es decir, que el peso, específico será

Respuesta : 3 tm
4 - ¿Cuántos litros de nafta (cuyo peso específico es 0,72) hay en un recípiente si se sabe que la misma pesa 2,85 tm?
Respuesta : 4.069,44 l
5 - Calcular el peso específico de un cuerpo que pesa 1,8 , siendo su volumen 0,35 dm3
Solución
Como
ρ = P/V
ρ = 1,8 / 0,35 dm3 = 5,14 / dm3
6 - ¿Cuál será el peso especifico de una sustancia tal que 25 m3 pesan 67.500 ?
Solución
Como
ρ = P/V
resulta
ρ = 67.500 / 25.000 dm3 = 2,7 / dm3
7 - El peso específico de un líquido es de 1,275 /cm3 ¿Cuál será el peso de 3/4 litros de ese líquido?
Solución
Como
ρ = P/V
es
P = ρ V
resulta
P = 1,275 /cm3 X 0,75 dm3
Unificando unidades.
P = 1,275 /cm3 X 750 cm3 = 95.6250 
Respuesta :
95.6250 
8 - Si el peso específico del cobre es 8,8 (8,8 tm/m3 u 8,8 kg/dm3), ¿cuál será el volumen de un trozo que pesa 1,2 tm?
Solución
Como
ρ = P/V
es
V = P/ρ

Respuesta : 136,3 dm3
PROBLEMAS PARA RESOLVER
1 - Dos obreros transportan una carga de 280 mediante una barra de 3 m dispuesta sobre sus hombros. La carga dista 1,20 m del que marcha adelante. ¿Qué
fuerza soporta cada obrero?

Respuesta : El obrero de adelante soporta 168 y el otro 112
2 - Dos fuerzas paralelas de igual sentido de 35 y 42 , están aplicadas en el extremo de una barra rígida de 1,40 m. Calcular la intensidad de la resultante
y su punto de aplicación.

Respuesta : 77 y está a 0,636 m de la menor y a 0,763 de la mayor
3 - En los extremos de una barra rígida de 3m se aplican dos fuerzas paralelas, de sentido opuesto, de 45 y 60 . Calcular la resultante y su punto de aplicación con respecto a las fuerzas dadas.
El problema 3, es un caso especial: se trata de dos fuerzas paralelas de sentidos opuestos aplicadas en los extremos de una barra rígida.
Enunciado resumido:
¿Qué es la resultante?
Cuando dos fuerzas son paralelas y de sentido opuesto, la resultante no es simplemente su suma, sino su diferencia:
R =∣F1 − F2∣=∣60 − 45∣=15
Y se aplica en la dirección de la mayor, es decir, en el sentido de 60, que es hacia la derecha.
Esto representa que el sistema tiene un desequilibrio neto equivalente a una sola fuerza de 15 unidades, actuando en el sentido de la fuerza mayor.
¿Qué significa el punto de aplicación a 9 metros de la mayor?
En este caso, como las fuerzas son opuestas, su resultante no se encuentra entre ellas (como cuando son del mismo sentido), sino fuera de la barra.
Usamos momentos (principio de equilibrio) para encontrar a qué distancia de una de las fuerzas debe aplicarse esta fuerza de 15 para que produzca el mismo efecto que las dos fuerzas originales.

Es decir, la fuerza resultante de 15 tendría que estar ubicada 9 metros a la derecha del punto de aplicación de la mayor (o 12 metros a la izquierda de la menor) para tener el mismo efecto (momento o torque) que el par original.

Respuesta: 15, y está a 9 m de la mayor y a 12 m de la menor
(Esta es una resultante "externa", lo que indica que el sistema tiene un momento no equilibrado).
Esto representa un par no equilibrado
La interpretación física es que las dos fuerzas generan un par o momento neto, y no se pueden reemplazar simplemente por una fuerza interna a la barra. Por eso, la ubicación de 9 m está fuera de la barra, lo que es válido matemáticamente, pero implica que:
-
El sistema no está en equilibrio.
-
Hay un momento resultante o "torque puro", no solo una fuerza.
-
En aplicaciones prácticas, eso significa que la barra tenderá a girar.
O sea que :
-
La resultante es 15 unidades en dirección de la fuerza mayor.
-
Su punto de aplicación está fuera del tramo original entre las fuerzas.
-
El sistema genera un momento neto, no es estáticamente equilibrado.
Repuesta : 15 y está a 9 m de la mayor y a 12 m de la menor
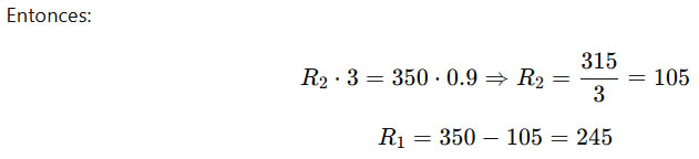
4 - ¿Cuál será la reacción en cada uno de los apoyos de una barra rígida de 3 m
de largo, de la cual pende un cuerpo de 350 kg colocado a 0,9 m de uno de los extremos?


Respuesta : En el extremo mas cercano 245 y en el otro 105
5 - Si la leche tiene un peso especifico de 1,04 /dm3: el acero, 7.6 /dm3; el caucho 0,93 /dm3 y el aceite. 0,92 /dm3, indique cuáles son más livianos o
más pesados que 1 dm3 de agua.

Respuesta : El caucho y el aceite son mas livianos que el agua; la leche y el acero, mas pesados.
6 - El peso especifico del aceite es 0,92. ¿Cuál será el peso de 220 litros?

Respuesta : 202,4 
7 - El peso de un trozo de plomo es de 8.500 kg. ¿Cuál será su volumen en metros
cúbicos si el peso específico es 11.3 ?

Respuesta : 0,752 m3 |