CAlDA LIBRE EN EL VACÍO
Caída libre. Aceleración de la gravedad. Variación con la latitud. Tiro vertical. Satélites naturales y artificiales.
Ver temas relacionados:
La observación diaria nos indica que todo cuerpo, librado a la acción de su peso (fig. 17), cae, debido a que actúa sobre él la fuerza de atracción de la gravedad.
El fenómeno de la caída de los cuerpos atrajo desde la antigüedad la atención de los científicos. En principio se creía que cuanto más pesado era el cuerpo, mayor era la velocidad con que llegaba a tierra.

Figura 17. Por acción de la fuerza de gravedad, todos los cuerpos tienden a caer.
Galileo, absorbido por este fenómeno, realizó la hoy histórica experiencia desde la torre de Pisa: dejaba caer tres cuerpos de distintos pesos, pero de igual forma y tamaño, es decir que ofrecían igual resistencia a la acción del aire, y comprobó que los tres llegaban simultáneamente al suelo

Figura 18. Prescindiendo del rozamiento del aire, todos los cuerpos llegan simultáneamente.
GALILEO GALILEI. Astrónomo y físico italiano nacido en Pisa (1564 -1642). La esmerada educación que le proporcionó su padre nos lo presenta como conocedor de la música y muy hábil en el dibujo y en la pintura.
Pero su inclinación se mostró pronto hacia el lado de la mecánica.
Su espíritu observador y crítico, pero imparcial, lo llevaba a sacar valiosas conclusiones partiendo de hechos vulgares. Así, cuéntase que, hallándose rezando en la Catedral de Pisa, reparó en el movimiento oscilatorio de la lámpara. Esta observación le sirvió de base para enunciar las leyes del péndulo y su aplicación a la medición del tiempo.
Sus estudios sobre las leyes del movimiento (leyes de Galileo), máquinas simples (equilibrio) y la construcción del termoscopio (base del termómetro) datan de esta época, conocida en su biografia como "período pisano", relacionado con su cátedra de matemáticas precisamente en la ciudad de Pisa. Contaba a la sazón unos 25 años.
En 1609 idea un telescopio, con el cual descubrió montañas en la Luna y apreció cómo la Vía Láctea estaba constituida por más de quinientas nuevas estrellas. En 1611 enuncia su opinión de que los planetas carecen de luz propia y se afianza en la teoría heliocéntrica de Copérnico. En 1612 expuso consideraciones sobre los cuerpos flotantes, base de la hidrostática. Aparte de la importancia de sus incontables aciertos, Galileo merece honor especial por haber sido el iniciador del método experimental en la Física y en la mecánica, una de las conquistas más importantes de la historia del pensamíento humano, que marca el principio real de la Física.
Se afirmó: "Si un hombre solo pudiese pretender el honor de haber fundado una ciencia tan extensa como la Física, es ciertamente a Galileo a quien corresponde".
Realza más el mérito de tan inmensa obra de investigación el hecho de haber sido realizada en medio de amarguras y privaciones, al par que en un ambiente hostil, particularmente por el aferramiento a métodos tradicionales que obstruían sistemáticamente el paso al método experimental. Baste recordar el histórico proceso que le costó su adhesión al sistema heliocéntrico ideado por Copérnico.
Evidentemente, surgieron algunas dudas; por ejemplo, si dejamos caer un papel y una piedra, no llegan simultáneamente. Galileo aclaraba que la diferencia, en este caso, se produce por el rozamiento del aire. Las numerosas
pruebas realizadas por Galileo le permitieron emitir el siguiente enunciado, que se conoce como ley de la caída libre en el vacío:
| Todos los cuerpos que caen desde la misma altura, adquieren en el vacío (prescindiendo del rozamiento del aire) la misma velocidad. |
Inventada la bomba de vacío, Newton (1642-1727) realizó el siguiente experimento: dentro de un tubo de vidrio (fig.19), de aproximadamente un metro de largo, colocó una pluma de ave y un trocito metálico; extrajo el aire por medio de una máquina de vacío; invirtiendo el tubo, comprobó que ambos cuerpos (pluma y metal) llegaban simultáneamente al otro extremo del tubo. De este modo ratificaba en forma más técnica lo ya realizado por Galileo.
Este aparato se llama tubo de Newton, y existen artefactos análogos en casi todas las escuelas y colegios.

Figura 18. Tubo de Newton
Este experimento prueba que lo que modifica la caída de los cuerpos es el aire y por consiguiente el volumen que le presentan, pero de ningún modo la masa.
Caída de los cuerpos en el aire. La resistencia del aire crece rápidamente con la velocidad del cuerpo que se mueve; cuando la velocidad de la caída se hace 2, 3, 4 veces mayor, la resistencia del aire se hace 4, 9, 16 veces mayor, y llega un momento en que la resistencia del aire es igual al peso del cuerpo. Entonces el cuerpo alcanza su velocidad límite y sigue bajando con movimiento uniforme. Así, por ejemplo, la velocidad límite de una esferita de plomo de 1 cm. de radio es de 55 m. por segundo, la del granizo o de la lluvia es de unos 15 metros. Un paracaídas se abre en el aire y baja con movimiento lento y uniforme; una pelota hueca de caucho, cayendo de unos 5 a 6 m. de altura alcanza su velocidad limite antes de llegar al suelo; de donde resulta que rebota siempre a la misma altura, si se la deja caer libremente del 2º, 3º ó 4º piso de una casa.
La enorme resistencia que opone el aire a los movimientos de gran velocidad modifica profundamente la trayectoria de los proyectiles lanzados por las armas de fuego y disminuye su alcance. La trayectoria en el aire no es parabólica, sino que la parte descendiente tiende hacia la vertical.
Una bala, por ejemplo, cuyo alcance teórico es de 25 Km. cae al suelo a los 15 Km. a causa de la resistencia del aire.
ISAAC NEWTON. Matemático y físico inglés nacido el 25 de diciembre de 1642. Había puesto muy poca afición para el estudio, salvo para las matemáticas, que parecían interesarle. Demostró gran pasión por la mecánica.
Desde muy joven creó y construyó juguetes de gran ingenio (mecanismos hidráulicos, reloj de sol, reloj de agua, etcétera). Era un joven sobrio, silencioso y pensativo.
A los 15 años estaba entregado ya a la lectura de obras de física y matemática. A los 22 años ya era considerado como un cerebro sin precedentes. A los 27 años ocupaba una posición respetable en el campo de la ciencia y ya había realizado estudios sobre fenómenos celestes. Se dice que su salud se quebrantó, pues permanecía hasta altas horas de la noche efectuando observaciones al cielo. Su inmortal descubrimiento de la atracción universal data del año 1665; es decir, cuando contaba 23 años.
Se dice que al ver caer una manzana del jardín, pensó: "La misma fuerza que la hacía caer no disminuirá sensiblemente en las más altas puntas de las altas torres o en las cimas de las montañas más elevadas; aún más, esta idea podría extenderse a la Luna".
Surgió así la idea que por esa fuerza la Luna es mantenida en la órbita de la Tierra.
Si bien no se puede asegurar que la anécdota de la manzana sea cierta, el árbol se conserva como pieza de museo.
Cuando da a conocer la teoría de la luz, expresa: "El blanco es el color común de la luz, pues la luz es la suma de todos los colores".
A los 45 años publica Philosophiae Mathematica, obra que consta de tres tomos. La base fundamental de esta obra es la atracción universal.
Al respecto de la misma, A. Smith había expresado: "Es algo más allá de la humana experiencia".
Newton es, sin duda, uno de los estudiosos
que han hecho evolucionar la ciencia con ritmo fuera de lo común.
Falleció a los 85 años.

Figura 19. El rozamiento
modifica la caída.

Figura 20. El cartón y la moneda llegan simultáneamente.
Las experiencias de las figuras 19 y 20, realizables por cualquier alumno, permiten verificar todo lo expuesto.
Pasemos ahora a estudiar cómo se verifica la caída libre en el vacío.
El mismo Galileo se dedicó a establecer la característica del movimiento de caída.
Para ello, disponía de un plano inclinado muy bien pulido y cuya inclinación variaba a voluntad.
Caída de un cuerpo a lo largo de un plano inclinado. Plano inclinado de Galileo.
Galileo hacía rodar una bola metálica por una canaleta cavada a lo largo de una viga que podía inclinarse más o menos con relación al horizonte (fig. 21).
A medida que el ángulo con el horizonte es menor, se hace más lenta la caída de la bola y es más fácil estudiar el movimiento de caída.
Resultado: En cualquier inclinación del plano notó Galileo que los espacios recorridos en 1, 2, 3, 4 unidades de tiempo son proporcionales a los números 1, 4, 9,16 … es decir, a los cuadrados de los tiempos empleados en recorrerlos (3º ley )

Figura 21. Plano de Galileo: en la caída, la esfera cumple la tercera ley del movimiento uniformemente acelerado, aun modificando el ángulo, o sea,
- t1 = 1 seg,
- t2 = 2 seg.
- t3 = 3 seg.
- e2 = 4 e1
- e3 = 9 e1

La bola después de 1, 2, 3, 4 ... segundos de
caida, pasa frente de 1, 4, 9, 16... espacios. En efecto, los espacios recorridos durante el 1º, 2º, 3º, 4º segundo son respectivamente:
1, 3, 5, 7
unidades de espacio, donde la aceleración es constante e igual a más dos (1º ley).
Del experimento de la figura 21 se concluye también que la aceleración es constante.

Figura 22. Plano de Galileo
Luego trabajaba así: dejaba caer por el plano inclinado una esfera metálica (también muy bien pulida) desde distintas alturas (figs.108 y 109) y verificaba que las distancias recorridas eran proporcionales a los cuadrados de los tiempos, o sea que si en 1 seg recorría 1 cm; en 2 seg, 4 cm; en 3 seg, 9 cm; en 4 seg, 16 cm; es decir, se cumplía la ley de los espacios en el movimiento uniformemente variado.
Además, si se invierte el plano conservando la misma inclinación y que, a continuación del Nº 0 se coloca un plano horizontal, se suprime así la acción de la gravedad (fig, 22a) y los cuerpos, después de haber rodado, en el plano inclinado con movimiento uniformemente acelerado, siguen con movimiento uniforme en el plano horizontal.

Figura 22a. Plano inclinado seguido de un plano horizontal.
De este modo se puede probar la ley de las velocidades. En efecto para mayor claridad, se ha colocado en (1) una esfera blanca, en (4) una rayada, y en (9) una negra; si se los suelta alternativamente llegan al (0) en un movimiento uniformemente acelerado.
Al cabo de 1, 2 y 3 segundos respectivamente, y al segundo siguiente recorren, también respectivamente, los espacios a, 2a, 3a en el plano horizontal.
Luego las velocidades adquiridas: a, 2a, 3a ... son proporcionales a los tiempos: 1, 2, 3. .. segundos respectivamente (2º Ley).
Consecuencia: Siendo cierta esta ley, cualquiera que sea la pendiente del plano inclinado, deducía Galileo que debía serlo también para la caída vertical o caída libre.
Acabamos de deducir que la caída de los cuerpos es un movimiento uniformemente acelerado.
Si todos los cuerpos, al caer en un mismo lugar desde la misma altura, adquieren la misma velocidad y llegan simultáneamente al suelo, resulta que están todos dotados de la misma aceleración.
Por ello, podemos decir que enun mismo lugar de la Tierra, y prescindiendo del rozamiento del aire (vacío), todos los cuerpos caen con la misma aceleración, llamada aceleración de la gravedad.
| Podemos decir también que la aceleración de la gravedad es la aceleración común que adquieren los cuerpos en su caída en cada lugar de la Tierra. |

Figura 23. La aceleración de la gravedad varía con la latitud del lugar.
Variación de la aceleración de la gravedad
La aceleración de la gravedad varía con la latitud.
Se ha determinado que la aceleración de la gravedad alcanza su valor mínimo sobre el ecuador y va aumentando hacia los polos, donde el valor es máximo (figura
23).
De acuerdo con esto:
a) En Buenos Aires,
g = 980 cm/seg2;
b) En París,
g = 980,6 cm/seg2;
c) En los polos,
g =983 cm/seg2;
d) En el ecuador,
g = 978 cm/seg2;
Esta variación de g ratifica el hecho ya conocido de que la Tierra no es una esfera y que el radio ecuatorial es mayor que el radio polar.
Se ha tomado como valor normal de la gravedad el correspondiente a 45° de latitud, o sea,
g = 980,665 cm/seg2 ≈ 981 cm/seg2;
Puede ocurrir que depósitos minerales o de ciertas sustancias provoquen, respecto de puntos de igual latitud (o sea, de igual valor para g), variaciones locales de la aceleración de la gravedad.
Inversamente, por esta circunstancia puede ocurrir que se lleguen a descubrir yacimientos o depósitos minerales debajo de la superficie terrestre. Ejemplo de ello es el método gravimétrico de cateo de napas petrolíferas.
Hemos dado valores de g para distintas latitudes, pero sobre el nivel del mar. Se ha establecido que, a medida que ascendemos, la fuerza de la gravedad es menor. Por consiguiente, la aceleración de la gravedad disminuye con la altura; o sea, la aceleración de la gravedad aumenta al aproximarse el cuerpo al nivel del mar.
Dentro de los cálculos y problemas que realizamos, este fenómeno es despreciable, pero ha de tenerse muy en cuenta para el cálculo de vuelos interplanetarios, lanzamiento de cohetes, satélites, etcétera.
En síntesis:
1) Todos los cuerpos caen con movimiento uniformemente acelerado;
2) Todos los cuerpos, al caer, adquieren la misma aceleración;
3) Aceleración de la gravedad es la aceleración que adquieren los cuerpos en la caída libre; su valor depende de la latitud del lugar y se representa por la letra g. |
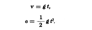
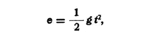
Como la caída libre es un movimiento uniformemente acelerado, se cumplen las mismas leyes que en ese movimiento. Las fórmulas para calcular la velocidad y el espacio son:
a) En movimiento uniformemente acelerado,

b) En caída libre,

De la fórmula

pasando al otro miembro 2 y t2,queda

donde e se mide fácilmente, así como t. Por ello, esta fórmula es de gran importancia para determinar el valor de g en los distintos lugares de la Tierra.
Todos los puntos geográficos situados a la misma latitud poseen igual aceleración de la gravedad (g). |
Ver temas relacionados :
Problemas resueltos
1- ¿Cuál es la masa de un cuerpo que mediante la fuerza de 20 kg adquiere una aceleración de 1.5 m/seg2 ?
Solución
Como

Respuesta : 13,33 kg m/seg2
2- Calcular el peso de un cuerpo cuya masa es de 18 kg .m/seg2 (g = 9,8 m/seg2).
Solución
Como

3- Si el peso normal de un cuerpo es de 12 kg. ¿cuál será el mismo en un lugar en que la aceleración de la gravedad es de 9.7969 m/seg2?
Solución
Como

4- Calcular a cuántas unidades técnicas de masa equivale el kilogramo masa
Solución
Como

5- Si un cuerpo pesa 4 kg, ¿cuál será su masa y qué aceleración le imprime una fuerza constante de 52 kg?
Solución
Como

resulta

Respuesta : 4,08 kg . seg2/m (UTm) y su aceleración es 1,22 seg2/m
6- Una fuerza constante de 5 kg actúa sobre un cuerpo y le produce una aceleración
de 2 m/seg2. Se desea saber: a) ¿qué masa tiene el cuerpo?; b) ¿qué velocidad
tendrá al cabo de 8 seg?: e) ¿qué distancia recorrió en ese tiempo?
Solución

7- Un cuerpo posee una velocidad de 80 km/h y se le aplica una fuerza que lo
hace detener a los 35 seg. Si el cuerpo pesa 1 280 kg, ¿cuál es la intensidad de la
fuerza aplicada?
Solución
Como
F = m a,
debemos calcular a y m; por lo tanto, como
a= Δv/t

8- ¿Cuál es la masa de una esfera metálica que por acción de una fuerza constante de 1000 dyn durante 1/10 seg adquiere una velocidad de 2 m /seg2?
Solución
Como

9- Un hombre pesa 85 kg en un lugar donde la aceleración de
la gravedad es 9,81 m/seg2 . ¿Cuánto pesará en otro lugar donde la aceleración de la gravedad sea de 9,79 m/seg2?
Solución
y
Como
P1 = mg1
P2 = mg2,
dividiendo miembro a miembro, resulta

Respuesta : 85, 03 kg es decir, aumentó 30 g
10- Una fuerza de 294 dyn actúa sobre un cuerpo de masa 20 g. ¿Qué aceleración le
comunica a los 6 seg y a los 10 seg? ¿Cuál será la velocidad después de 2 seg y 10 seg, respectivamente?
Solución
Según el principio de masa, la aceleración que adquiere el cuerpo resultará
constante, pues es la misma fuerza tanto a los 6 seg como a los 10 seg.

Respuesta : a = 14,7 cm/seg2, v2 = 29,4 cm/seg y v10 = 147 cm/seg |