CIRCUITOS ELÉCTRICOS. ELECTROTECNIA
El término eléctrico continuidad se refiere a que el circuito es continuo. Para que fluya la corriente, los electrones deben tener un camino continuo desde el voltaje de la fuente hasta el componente de carga y de regreso a la fuente. Como ejemplo, un circuito automotriz simple se compone de tres partes:
1. Batería (fuente de alimentación).
2. Alambres (conductores).
3. Carga (luz, motor, etc.).
El circuito básico que se muestra en la figura siguiente, incluye un interruptor para encender y apagar el circuito, un dispositivo de protección (fusible) y una carga. Cuando el interruptor se coloca en la posición CERRADO, el circuito se denomina circuito cerrado. Cuando el interruptor está en la posición ABIERTO, el circuito se denomina circuito abierto. En este caso, con el interruptor cerrado, la corriente fluye desde el terminal positivo de la batería a través de la lámpara y regresa al terminal negativo de la batería.

Fig. Un circuito eléctrico básico que incluye
(A) una llave interruptora, (B) un fusible y (C) una lámpara.
Para tener un circuito completo, el interruptor debe estar cerrado o abierto. El efecto de apertura y cierre del interruptor para controlar el flujo eléctrico es el mismo si el interruptor estuviera instalado en el lado del negativo de la lámpara.
Hay tres tipos diferentes de circuitos eléctricos: (1) el circuito en serie, (2) el circuito en paralelo y (3) el circuito en serie-paralelo.
La parte del circuito desde el lado positivo de la fuente hasta el componente de carga se denomina lado aislado o lado "vivo" del circuito. La porción del circuito que va desde el componente de carga hasta el lado negativo de la fuente se llama el lado de tierra o masa del circuito.
El término circuito eléctrico cerrado significa que no hay interrupciones en el recorrido y la corriente fluirá. El circuito eléctrico abierto se usa para indicar que el flujo de corriente no circula. Al abrir el circuito, se interrumpe el recorrido para el flujo de electrones.
Circuitos eléctricos. Mallas y nodos
Cuando los circuitos están formados por elementos lineales, una rama establece una relación lineal entre la diferencia de potencial en sus extremos (potencial de rama) y la corriente que en ella circula, dicho de otra manera, es de por sí linealmente independiente. Por otra parte, la función de variación de potencial a lo largo de la misma, que depende generalmente en forma lineal de la corriente y de las fuentes que contenga dicha rama, deja indeterminados los potenciales en sus nodos extremos. Esta indeterminación se levanta
fijando el potencial de un nodo a un valor conocido, como por ejemplo conectándolo a masa. Con lo que se puede afirmar que también uno, de los potenciales de nodo que tiene una rama, también es linealmente independiente.
La resolución de un circuito por el planteo de una ecuación por cada rama y una por cada una de las "n-1" ecuaciones linealmente independientes de nodo (en adelante se podrá hacer referencia a este como método desarrollado), asegura la independencia lineal del sistema, pero obliga al planteo de un gran número de ecuaciones con la consecuente complicación
matemática que esto implica.
Hay métodos más eficientes y por lo tanto más seguros para resolver un circuito tales como:
1) Método de las corrientes de mallas (o simplemente método de mallas), consiste en agrupar
incógnitas, como por ejemplo sustituir varias corrientes reales de ramas pertenecientes
a un camino cerrado o "malla", con corrientes ficticias una por cada malla (llamadas
corrientes de mallas).
2) Método de nodos, en el que se resuelve el circuito obteneniéndo los "n-1" potenciales de nodo.
También y dando un paso más hacia la simplificación del cálculo de circuitos se pueden sistematizar ciertos aspectos, con lo que se logra una mayor certeza en los resultados.
Una resistencia o una fuente ideal, como las mostradas en la figura 1, constituyen la parte más simple de un circuito (sólo un elemento) y la relación que establecen entre "i" y ''VAB'' corresponde a la ecuación de una recta.

Figura 1. Resistencia y fuente ideal .
Para el caso (a), fuente ideal de tensión "E" figura 1(a), la ecuaciones que representan matemáticamente su funcionamiento, como parte de un circuito, de acuerdo a lo visto son:
Caso a)

Como puede verse la ecuación (1.3), resulta una combinación lineal de (1.2).
La caída de potencial en los extremos de la rama, ecuación (1.4), debido a que la resistencia interna de una fuente ideal de tensión es nula, resulta independiente de la corriente,
o sea no es una incógnita.
Caso b)

Para las ecuaciones de nodo sucede lo mismo que para el caso (a), cualquiera de las dos resulta ser una combinación lineal de la otra, por lo que sólo vale una de ellas. Por otra parte como había sido dicho, "R" implica una relación lineal entre "VAB" e "i".
Caso c)
Este tipo de fuente, habida cuenta que posee resistencia infinita no permite el paso de corriente impulsada por el circuito externo, sólo puede pasar a través de ella su propia corriente. Por definición una fuente ideal de corriente entregará su propia corriente "I", aún cuando se encuentre desvinculada de todo circuito (en tal situación "I" a través de una resistencia infinita, hará infinita también la diferencia de potencial en sus bornes). La corriente
de este tipo de rama, por definición entoces no es una incognita. También aquí las ecuaciones de los nodos A y B son linealmente dependientes.

La "Rext" es la resistencia del circuito externo vista desde la fuente. Como sabemos,
una fuente ideal de corriente en circuito abierto "Rext = ∞", implica teóricamente una caida de potencial en bornes "i.Rext = ∞", por este motivo una fuente de corriente nunca debe estar, en condición normal, a circuito abierto ya que provoca una ddp entre terminales
tan grande que la destruye, del mismo modo que el exceso de corriente destruiría una
fuente de tensión, si ésta estuviera en cortocircuito. Las fuentes de corriente deben siempre
estar asociadas en paralelo a una rama de circuito de resistencia finita y la diferencia
de potencial en sus extremos depende del circuito externo conectado a sus bornes.
Si dos elementos simples como los de la figura 1 se agrupan dentro de un circuito, en
serie, para formar una rama o se conectan en paralelo para formar un circuito. La rama (parte de un circuito) o el circuito obtenido estará formado por dos elementos, en tal caso
existen dos posibilidades que se muestran en la figura 2.
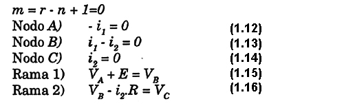
Supóngase que los elementos de la figura 1 (de 1 rama y 2 nodos) se encontraran aislados,
no permitirían la definición de una malla puesto que están abiertos. En consecuencia
si se propone una expresión para determinar el número de trayectorias cerradas (mallas), ésta debe resultar "0". La expresión propuesta es:

Figura 2. Circuitos serie y paralelo
En la figura 2(a) se muestra el resultado de la interconexión propuesta de los dos elementos (ramas simples) que comparten sólo un nodo. Se obtuvo así una nueva rama más compleja de dos elementos en serie. Si se la supone desconectada del circuito al que pertenece (o sea abierta), el número de mallas calculado con la expresión (1.11) propuesta debe resultar "0"
r = 2 ramas simples, n = 3 nodos y

Si de (1.16) se despeja "VB" y se suma con
(1.15) se obtiene:
VA + E = i2·R + Vc (1.17)
Queda (VA - VC) = E + i.R = - E (1.18)
Este resultado está de acuerdo con (1.12) ó (1.14) "i = 0". Si esta rama de dos elementos se encuentra conectada a un circuito "i" será distinta de cero y se ve de la (1.18) que establece una relación lineal entre "VAC" e "i". Ahora, si la interconexión de las ramas (elementos simples) se efectúa de acuerdo a lo mostrado en la figura 1.2(b), se obtiene un circuito cerrado único, lo que implica una única posible malla y como en ella hay una relación lineal entre la corriente y la fem "E" de la malla expresión (1.23), resulta además linealmente independiente.

Como se aprecia la (1.20) se obtiene de multiplicar por "-1" a la (1.19) o viceversa con lo que una resulta combinación lineal de la otra, o sea "i1 = i2 = i" que sustituida en la igualdades
(1.21) y (1.22) se logra una única ecuación. Esta ecuación corresponde a la única malla del circuito 1.2(b) y la (1.23) es la segunda ley de Kirchhoff aplicada a una trayectoria cerrada (malla). En el caso del circuito de la figura 1.2(b), la interconexión de las dos ramas ha sido efectuada compartiendo sus nodos extremos (n=2), y la expresión (1.11) queda "m = r - n + 1 = 1" (una malla linealmente independiente) que es el resultado esperado.

Figura 1.3 |
Si se aplica el principio de inducción, con el agregado de ramas de elementos simples según el mecanismo propuesto, se puede demostrar
que "m = r - n + 1" es generalizable a un circuito de cualquier número de mallas. Para comprobar esta afirmación, se han combinado tres ramas formadas por elementos simples de circuito, de todas las maneras posibles, lo que resulta
según se indica en figura 1.3.
Caso figura 1.3(a)
r=3
n=4
m = r - n + 1 = 0 no hay malla
Casos figura 1.3(b)
r=3
n=3
m = r - n + 1 = 1 dos mallas "LI" para ambas combinaciones.
Caso figura 1.3(c)
r=3
n=3
m = r - n + 1 = 1 una malla "LI".
Caso figura 3.3(d)
r=3
n=2
m = r - n + 1 = 2 una malla "LI". |
Para comprobar la afirmación anterior, tómese un circuito como el de la figura 1.4.

Figura 1.4
|
De la figura
r =3 ramas
n =2 nodos efectivos uno "LD" del otro
r + n -1 = 4 incógnitas
Por Kirchhoff, se pueden plantear 4 ecuaciones linealmente independientes. |

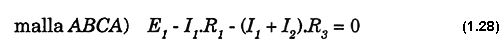
Sustituyendo (1.27) en (1.26) y ésta en (1.24) se tiene

Si se elimina "VA" y se hacen "i1 = I1" e "i2 = I2" (mostradas en la figura 1.4 con sendos arcos de círculo girando una, en el sentido de las agujas del reloj y la otra, en sentido contrario),
designadas como corrientes ficticias de mallas, se obtiene la ecuación de

El mismo procedimiento se sigue y se obtiene la ecuación de

Notar que para escribir las ecuaciones de trayectoria, las mallas en ambos casos fueron recorridas en el mismo sentido que el de las corrientes ficticias asignadas.
Las ecuaciones (1.28) y (1.29), por el procedimiento seguido en la resolución, se puede asegurar que son linealmente independientes y determinan la solución del circuito con dos ecuaciones en lugar de las cuatro propuestas inicialmente.
Quiere decir que si en un circuito se reemplazan las corrientes reales "ir" por un número "m = r - n + 1" de corrientes ficticias "Im", en la que cada corriente ficticia corresponde a una
, malla linealmente independiente y en consecuencia da lugar a una ecuación de malla linealmente independiente, el circuito puede ser resuelto con un número de ecuaciones "m < r + n -1" que surge de la aplicación del método desarrollado. El valor que resulta "m = 2" para el circuito de la figura 1.4 se corresponde entonces con las dos ecuaciones linealmente independientes obtenidas como función de las corrientes ficticias de mallas propuestas.
Ahora si a (1.28) se le resta (1.29) se tiene la ecuación de

Esta es la ecuación de la malla ABCDA y si se considera como ya se dijo "i1 =I1" e "i2 =I2" la (1.30) se reduce a

Que resulta ser combinación lineal de (1.28) y (1.29) con lo que sería lineamente dependiente de éstas y por lo tanto de haberse elegido también esta malla, el sistema hubiera quedado indeterminado.
En resumen, dos mallas con una rama en común pueden generar por combinación lineal,
una nueva malla como la ABCDA, o sea una tercera malla linealmente dependiente de las dos primeras ABCA y ADCA. Debido a que dos mallas son linealmente independientes
sí difieren por lo menos en una rama, entonces para no caer en la dependencia lineal, se origina el siguiente método gráfico. El método consiste en que cada vez que se elige una malla, se elimina una de sus ramas efectivas (conjunto de elementos en serie que vinculan dos nodos efectivos). Esta rama eliminada no podrá formar parte de ninguna otra malla.
Problemas resueltos de aplicación de conceptos
1- Obténgase la corriente en cada resistor de la figura 2 (a), usando los métodos de reducción
de red.

Figura 2(a)
Como primer paso, las combinaciones de dos resistores en paralelo se convierten en sus equivalentes. Para los resistores de 6 Ω y 3 Ω, Req = (6)( 3)/(6 + 3) = 2 Ω. Para los dos resistores de 4 Ω, Req =
2 Ω. El circuito se vuelve a dibujar con resistores en serie agregados [Fig. 2 (b) ]. Ahora los dos resistores de 6 Ω en paralelo tienen la resistencia equivalente Req =3 Ω, y ésta se halla en serie con la resistencia
equivalente de 2 Ω. Por tanto, RT = 5 Ω, como se muestra en la figura 2 (c). La corriente lotal que resulta es :

Figuras 2(b) y 2(c)
Ahora pueden obtenerse las corrientes de rama trabajando a través de los circuitos de la figura 20 (b) y 2 (a)

2- Obténgase la corriente IX en el resistor de 10 Ω en la figura 3 (a), usando la superposición

Figura 3(a)
Para permitir que la fuente de 50 V actúe sola, la luente de corriente de 5 A se reemplaza por un circuito abierto [Fig, 3(b)]. Entonces

A continuación la fuente de voltaje es removida y reemplazada por un cortocircuito [Fig, 3 (c)].

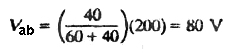
3- Reemplácese la red activa a la izquierda de las terminales ab en la figura 4 (a) por un equivalente de Thévenin.

Figura 4. Equivalente de Thévenin
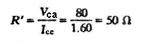
El voltaje en circuito abierto Vab es el voltaje a través del resistor de 40Ω ;
(voltaje en circuito abierto)
La resistencia R' puede encontrarse observando el circuito desde ab con la fuente de voltaje en corto.

Véase la figura 4 (b) para el equivalente de Thévenin.
4- Obténgue el equivalente de Norton para la red activa del problema anterior (3).
La corriente de Norton l' es la corriente del circuito en cortocircuito. Suponiéndose la dirección de a a b a través de un cortocircuito aplicado [véase Fig. 4 (a)].

La resistencia en paralelo, R', se obtuvo en el problema anterior. Como comprobación :
(resistencia en paralelo, R' = voltaje en circuito abierto, Vca / circuito en cortocircuito, Icc)


Figura 5. Equivalente de Norton resultante
5- Obténgase un equivalente de Thévenin para la red eléctrica activa mostrada en la ligura 6.

Figura 6.
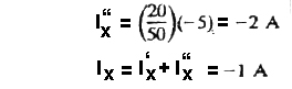
Como el circuito contiene una fuente de voltaje dependiente, Vca e Icc se usarán para encontrar R. Con un circuito en corto aplicado, (eq. Norton)
-20 + Icc(4) -6Ix = 0 y Ix = 0
de donde Icc = I' = 5A. Con el circuito abierto, (eq. Thévenin)
-20 + 4Ix - 6Ix + 6Ix = 0 ó Ix = 5A
Por lo tanto, V' = 5(6) = 30 V y R' = 30/5 = 6 Ω
Véase la figura 7 (a) y (b) para ambos circuitos equivalentes de Thévenin y Norton

Figura 7
6- Un circuito equivalente de Thévenin puede convertirse en un circuito equivalente de Norton, con ciertas limitaciones en la resistencia en serie R'. Enuncie esas limitaciones.
Como l' = V'/R', el valor R' = 0 no se permite, puesto que eso implicaría una corriente infinita I'. En el otro extremo, R' = ∞ llevaría a I' = 0. Una fuente práctica de voltaje debe incluir una resistencia en serie que no sea ni cero ni infinita. En forma similar, una fuente práctica de corriente debe incluir una resistencia en derivación que no sea ni cero ni infinita.
- Rama: Símbolo que representa un camino para la circulación de corriente a través de un componente en un circuito eléctrico. (Branch: A symbol representing a path for current through a component in an electrical circuit.)
- Corriente de rama: Corriente que circula por una rama del circuito. (Branch current: The current in a branch of a circuit.)
- Tensión de rama: Tensión eléctrica existente a través de una rama del circuito. (Branch voltage: The voltage across a branch of a circuit.)
- Fuente independiente: Fuente de tensión o corriente cuyo valor no depende de ninguna otra tensión o corriente del circuito. (Independent source: A voltage or current source whose voltage or current does not depend on any other voltage or current in the circuit.)
- Nodo: Símbolo que representa una conexión física entre dos o más componentes eléctricos en un circuito. (Node: A symbol representing a physical connection between two or more electrical components in a circuit.)
- Tensión de nodo: Tensión entre un nodo y un nodo de referencia, generalmente tierra. (Node voltage: The voltage between a node and a reference node, usually ground.)
- ac: Abreviatura de corriente alterna. (ac: An abbreviation for alternating current.)
- dc: Abreviatura de corriente continua. (dc: An abbreviation for direct current.)
- Ley de corrientes de Kirchhoff (KCL): Establece que la suma algebraica de las corrientes que entran y salen de un nodo es cero; equivalentemente, la suma de corrientes entrantes es igual a la suma de corrientes salientes. (Kirchhoff’s current law (KCL): States that the algebraic sum of currents either entering or leaving a node is zero; alternatively, the sum of currents entering a node equals the sum of currents leaving the node.)
- Ley de tensiones de Kirchhoff (KVL): Establece que la suma algebraica de las tensiones alrededor de cualquier lazo cerrado es cero. (Kirchhoff’s voltage law (KVL): States that the algebraic sum of the voltages around any loop is zero.)
- Análisis por mallas: Técnica de análisis de circuitos que utiliza KVL para determinar las corrientes de malla en una red. Una malla es un lazo que no contiene otros lazos en su interior. (Mesh analysis: A circuit analysis technique in which KVL is used to determine the mesh currents in a network. A mesh is a loop that does not contain any other loops within it.)
- Análisis nodal: Técnica de análisis de circuitos que utiliza KCL para determinar las tensiones de nodo en una red. (Node analysis: A circuit analysis technique in which KCL is used to determine the node voltages in a network.)
- Ley de Ohm: Ley fundamental que establece que la tensión en una resistencia es directamente proporcional a la corriente que la atraviesa. (Ohm’s law: A fundamental law stating that the voltage across a resistance is directly proportional to the current flowing through it.)
- Nodo de referencia: Nodo de una red elegido como punto común, respecto del cual se miden todas las demás tensiones de nodo. (Reference node: One node in a network selected as a common point, with all other node voltages measured with respect to that point.)
- Supernodo: Conjunto de nodos interconectados mediante fuentes de tensión, de modo que la tensión entre cualquier par de nodos del grupo es conocida. (Supernode: A cluster of nodes interconnected with voltage sources, such that the voltage between any two nodes in the group is known.)
| electric circuit |
(circuito eléctrico). Conjunto de elementos interconectados que permiten el flujo de corriente eléctrica. |
| electrical continuity |
(continuidad eléctrica). Condición en la que existe un camino cerrado que permite el paso de corriente. |
| power source |
(fuente de alimentación). Dispositivo que suministra energía eléctrica al circuito, como una batería. |
| load |
(carga). Elemento del circuito que consume energía eléctrica, como una lámpara o un motor. |
| switch |
(interruptor). Dispositivo que permite abrir o cerrar un circuito eléctrico. |
| closed circuit |
(circuito cerrado). Circuito sin interrupciones en el que la corriente puede circular. |
| open circuit |
(circuito abierto). Circuito interrumpido en el que no circula corriente. |
| series circuit |
(circuito en serie). Circuito en el que los elementos están conectados uno tras otro. |
| parallel circuit |
(circuito en paralelo). Circuito en el que los elementos comparten los mismos nodos de conexión. |
| mesh current method |
(método de las corrientes de malla). Técnica de análisis que utiliza corrientes ficticias para resolver circuitos. |
|