CIRCUITOS ELÉCTRICOS “π”, “T” Y SU EQUIVALENCIA
Cualquier parte de un circuito complejo formado sólo por elementos pasivos lineales y bilaterales que interconecte dos sectores del mismo circuito por medio de cuatro terminales, como el que se muestra en la figura 1, puede ser reemplazado por otro más sencillo denominado “π, Δ ó triángulo”

Figura 1.
En la realidad, la mayoría de las veces y por diferentes motivos, es imposible acceder al interior de un circuito de interconexión de cuatro terminales. En tal caso, con independencia de la cantidad y combinación de elementos pasivos que lo compongan, puede ser considerado como una caja negra de 4 terminales, como se ve en figura 2(a).

Figura 2 (a)
Circuito equivalente “π”
El comportamiento de esta caja negra como elemento de interconexión puede ser modelado, a efecto de la relación de tensiones y corrientes entre sus terminales, por un circuito “π” equivalente como el de la figura 2(b), cuyos componentes se obtienen a partir de tres mediciones externas entre pares de terminales “R12”, “R13"y “R34" e independientes una de la otra. Esto significa que cuando se mide la resistencia entre un par de terminales cualesquiera, los dos restantes deben quedar desconectados.

Figura 2 (b)
Si se sustituyen los dos nodos ficticios C y D de la figura 2(b) por un solo nodo efectivo C, figura 3, el circuito puede ser redibujado con la forma de un triángulo. Debido a esto es que también se lo conoce con el nombre de circuito triángulo o delta.

Figura 3.
También se puede considerar como una red de tres terminales.
Para que la red de la figura 3 resulte equivalente a la caja negra de la figura 2(a),
los valores de resistencia “R12”, “R13"y “R34" medidos en esta última, deben guardar la siguiente relación con las resistencias del triángulo equivalente designadas por “RAB”, “RAC"y “RBC"

Haciendo

Dividiendo (2.22) por (2.23) y (2.22) por (2.24)

Reemplazando (2.25) y (2.26) en (2.22)

Simplificando y despejando

En (2.28) se tiene“RAB” como función de los valores de resistencia conocidos. Sustituyendo ahora “RAB” en (2.25) y (2.26) se obtienen “RAC"y “RBC" .
Circuito equivalente “T”
La caja negra de la figura 2(a) puede ser reemplazada también por un circuito “T” equivalente como el de la figura 4(a), cuyos componentes “R1” “R2”y “R3”, se obtienen a
partir de las mediciones externas entre pares de terminales “R12”, “R13"y “R34". Redibujando el circuito figura 4(b), se lo puede ver como una “Y o una estrella”, motivo por el cual también se los distingue con el nombre de circuito estrella o Y.

Figura 4 (a)

Figura 4 (b)
En este caso se pueden escribrir las siguientes ecuaciones:

Si entre (2.29), (2.30) y (2.31) se efectúan las siguientes operaciones

Las ecuaciones (2.32) dan los valores para las resistencias de la “T” equivalente en función de las resistencias conocidas.
Equivalencia entre circuitos “T”y “π”
Es evidente que si cualquier circuito pasivo, lineal, de cuatro o tres terminales puede ser modelado por un circuito “T” ó “π” indistintamente, entonces hay una equivalencia entre estos que resulta como es lógico del planteo de las siguientes ecuaciones:

Resolviendo este sistema de tres ecuaciones con tres incógnitas, en cualquiera de los dos sentidos, es posible pasar de un modelo al otro según convenga y se indica sin demostración:
1) Para pasar de triángulo a estrella:

2) Para pasar de estrella a triángulo:

EQUIVALENCIA ENTRE CIRCUITOS “T”y “π” QUE CONTENGAN GENERADORES
Este es un caso particular, muy útil, de circuitos de tres terminales. Estos tipos de circuitos que contienen elementos activos (fuentes de tensión en serie con resistencias), merece la pena tratarlos por separado. Los circuitos en cuestión son como los mostrados en la figura 5 siguiente.

Figura 5
Supóngase que los terminales A, B y C de ambos circuitos de la figura 5 (a) y (b), se encuentran vinculados a un circuito cualquiera, pero el mismo para ambos casos. En consecuencia se podrán definir corrientes ficticias de malla (ver leyes de Kirchhoff) en el caso del circuito (a) y potenciales de nodos en el caso (b). En ambos casos estos serán linealmente independientes y se podrán escribir para cada uno de los circuitos las siguientes ecuaciones:

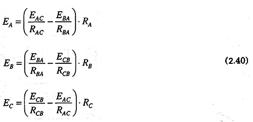
Con las expresiones (2.36) y (2.37) se puede demostrar primero que si a cada generador del circuito de la figura 5(a) se le suman sendos generadores todos del mismo valor “Eo”, o sea:

no variará la relación lineal entre las corrientes ficticias y las diferencias de potenciales de rama así establecidas. Y si a la corriente de cada rama del circuito de la figura 5(b) se
le suman corrientes también todas del mismo valor “io"

no variará tampoco la relación entre la diferencia de potencial de rama y la corriente que por ella circula.
Los sistemas que resultan de sustituir en (2.36) “EA”, “EB” y “EC” por “E'A”, “E'B” y “E'C” y en (2.37) “iAC”, “iCB”,e “iBA” por “i'AC”, “i'CB”, e “i'BA”, son equivalentes, a pesar de que el potencial del nodo “O” del circuito de la figura 5(a) será diferente y que también serán diferentes las corrientes de ramas del circuito de la figura 5(b).
Intercambio de generadores reales de triángulo a estrella
Los pasos a seguir son relativamente sencillos:
1) Se transforman los generadores de tensión en generadores de corriente.

Figura 6
2) Con las expresiones (2.34), las resistencias en triángulo de figura 7(a) se transforman a estrella, figura 7(b).

Figura 7
3) Por el primer lema de Kirchhoff se puede asegurar la equivalencia de la transformación de generadores que se muestra de figura 8(a) y 8(b).

Figura 8
4) Se agrupan generadores de corriente en paralelo figura 9(a) y se transforman en generadores de tensión figura 9(b).

Figura 9


Conceptos destacados :
| pi circuit (π circuit) |
(circuito pi). Circuito equivalente de interconexión cuya forma se asemeja a la letra griega π y que es eléctricamente equivalente a una conexión en triángulo. |
| T circuit |
(circuito T). Circuito equivalente cuya disposición es similar a la letra T, equivalente a una conexión en estrella. |
| delta connection (Δ) |
(conexión triángulo, delta). Configuración de resistencias interconectadas en forma triangular, equivalente a un circuito pi. |
| star connection (Y) |
(conexión estrella, Y). Interconexión de resistencias que parten de un nodo común, equivalente a un circuito T. |
| equivalent circuit |
(circuito equivalente). Circuito simplificado que reproduce el mismo comportamiento eléctrico que otro más complejo. |
| four-terminal network |
(red de cuatro terminales). Parte de un circuito que conecta dos sectores mediante cuatro bornes eléctricos. |
| black box model |
(modelo de caja negra). Representación de un circuito cuyo comportamiento se describe sin conocer su estructura interna. |
| external resistance measurement |
(medición externa de resistencia). Determinación de resistencias entre pares de terminales manteniendo los restantes desconectados. |
| delta-star transformation |
(transformación triángulo-estrella). Conversión de un circuito en delta a otro en estrella eléctricamente equivalente. |
| star-delta transformation |
(transformación estrella-triángulo). Conversión de un circuito en estrella a otro en triángulo con el mismo comportamiento eléctrico. |
|