|
CIRCUITOS TRIFÁSICOS
En otras páginas de este sitio web, al hablar de corriente alterna, normalmente nos referimos a circuitos en los que se dispone de
una tensión alterna entre dos bornes, que llamamos siempre: tensión en la toma. Esa tensión alterna se genera por el
movimiento de rotación, dentro de un campo magnético, de un conductor lineal o una espira abierta. Entre los extremos del
conductor o de la espira está presente una diferencia de potencial alterna.
La tensión tiene, entonces, una sola fase de variación; sus sucesivos valores se representan mediante una sinusoide, y la
equivalencia vectorial de la misma es un vector único, cuya longitud representa, en escala, el valor eficaz de la tensión.
La intensidad de corriente en el circuito se representa por otro vector, que puede estar en fase o no con dicha tensión.
Los circuitos de ese tipo se denominan "monofásicos", y en los mismos se dispone únicamente de una sola tensión
entre los dos bornes de la toma. Si el circuito tiene varios elementos intercalados, en éstos se producen caídas de potencial,
cuya suma vectorial da la tensión de la toma. Las líneas de distribución de corriente alterna monofásica tienen,
entonces, dos conductores.
Sistemas bifásicos
Supongamos que, en lugar de hacer girar un solo conductor dentro de un campo magnético, coloquemos dos conductores, aislados entre sí,
pero de manera que se hallen opuestos con respecto al eje (ver figura). Los dos conductores giran alrededor del eje con velocidad uniforme,
manteniendo siempre su posición recíproca, distanciados en media vuelta.
En el conductor (1) se inducirá una f.e.m. alterna, cuya frecuencia es igual al número de vueltas que da el conductor en un segundo,
pues en cada vuelta se produce un ciclo completo de variación. En el conductor (2) también se inducirá una f.e.m. alterna,
de igual valor y frecuencia que en el (1), suponiendo que ambos sean del mismo tamaño.
Pero obsérvese que cuando la f.e.m. pasa por el máximo positivo en el conductor (1), en el (2) pasará por el máximo
negativo, pues es lo mismo que si el primero estuviera en la posición del segundo después de haber dado media vuelta. Las dos f.e.m.
están desfasadas en medio ciclo, o sea, 180°.
Si hacemos la representación sinusoidal de las dos f.e.m. (ver figura 2), deben estar en oposición de fase, para que las crestas de una
se anticipen medio período a las de la otra. Nótese que tanto se puede decir que la (1) adelanta como que atrasa 180° con respecto
a la (2): su máximo positivo está adelantado medio período con respecto al de la (2), pero también está atrasado
la misma cantidad respecto del máximo de la (2) que ya se produjo y que no aparece en la figura.
Luego, un sistema bifásico consiste en dos f.e.m. desfasadas entre sí medio período y que, por consiguiente, están en
oposición de fase. El diagrama vectorial de este sistema es un par de vectores (fig. 3) iguales y opuestos; es decir, tienen la misma
dirección, pero sentido contrario. Por lo tanto, no podemos conectar en paralelo los dos conductores de la figura 1, porque sus fuerzas
electromotrices se anularían entre sí.
Para formar circuitos con un sistema bifásico, se debe proceder como indica la figura 4. Se unen dos extremos de los conductores (en la figura
aparecen bobinas, porque en la práctica los generadores tienen bobinados y no conductores lineales) en el punto O, y se dejan libres los otros
dos extremos A y B.
La línea de distribución tiene tres conductores, que parten de los tres puntos A, O y B. El punto O se suele llamar
neutro, porque no tiene potencial con respecto a la tierra.
Si se conectan impedancias de consumo como las Z, se originarán corrientes en las líneas: I1,
I0 e I2. Se tienen, en realidad, dos circuitos monofásicos, con un conductor común
a ambos, el central, que se llama neutro.
Como en cada instante las dos corrientes están en oposición de fase (pues las tensiones lo están, suponiendo que las dos
impedancias Z sean iguales), la suma de los valores instantáneos es nula y, como esas corrientes se unen en el neutro a través de las
impedancias de la carga, el neutro no debe llevar corriente. En la práctica, cualquier diferencia entre las corrientes
I1 e I2, provocada por diferencias entre las impedancias Z (ya sea en su valor o en su fase),
provoca circulación de corriente en el conductor neutro, dada por la diferencia vectorial entre dichas corrientes.
Las ventajas de los sistemas bifásicos con respecto a los monofásicos, en lo que respecta a las líneas de canalización,
están en que se utilizan dos conductores para servir a dos circuitos de igual carga como si fueran dos monofásicos independientes. Si el
neutro lleva corriente, su sección puede ser reducida, porque esa corriente nunca será muy grande. De este modo, con dos conductores
gruesos y uno fino suplimos los cuatro conductores que requerirían dos circuitos monofásicos independientes.
En la práctica, no se ha difundido el sistema bifásico de distribución de corriente alterna, pues ha sido reemplazado por el
trifásico, de mayores ventajas, que veremos enseguida. La explicación anterior tiene, pues, valor ilustrativo solamente. Quedan, sin
embargo, algunas redes de distribución bifásicas, que son sustituidas por trifásicas en cuanto se presenta la oportunidad.
Para ello no hay más que agregar un conductor si el neutro tiene sección reducida; y si fuera de la misma sección que los dos
conductores de línea, no es menester agregar ningún otro cable, pues los tres disponibles permiten instalar el sistema trifásico.
Ejemplo:
Un alternador bifásico genera 120 V por fase y suministra una intensidad de corriente simple de 60 A. Se desea saber cuánto valen la
f.e.m. y la intensidad compuestas.
Figura: generación de un sistema bifásico de fuerzas electromotrices
Según la fórmula:

La f.e.m. compuesta valdrá:

De igual forma, la intensidad en el hilo común será, de acuerdo con la fórmula:


Sistemas trifásicos
Supongamos que, dentro del campo magnético que teníamos en la figura 1, hacemos girar tres conductores en lugar de dos (fig. 5).
En cada uno de ellos se inducirá una f.e.m. alterna.
|

Fig. 5
|
Ahora bien, los tres conductores están aislados entre sí y apartados en un tercio de vuelta, de manera que las f.e.m.
inducidas no estarán en fase. Cuando uno de los conductores está en la posición superior (el 1, por ejemplo), corta
perpendicularmente a las líneas de fuerza y, por consiguiente, la f.e.m. inducida será máxima (valor de cresta).
En ese mismo momento, los otros conductores no ocupan una posición límite superior o inferior con respecto al campo
magnético, de modo que sus f.e.m. no serán máximas en tal instante.
Un tercio de vuelta más adelante, o sea, un tercio del período (duración de una vuelta) más tarde, el conductor (2)
pasará por la posición superior extrema y en él se inducirá el valor máximo de la f.e.m., mientras que el (1)
habrá llegado a la posición (3) y, por consiguiente, su f.e.m. será menor que la máxima. En esta forma se repite el
fenómeno para los tres conductores en cada vuelta.

Para observar las variaciones de las f.e.m. en los tres conductores, en cada posición de la vuelta alrededor del eje, haremos la
representación sinusoidal de las mismas en un mismo gráfico (fig. 6).
|
La curva e1 da las variaciones de la f.e.m. inducida en el conductor (1) en una vuelta completa, es decir, durante un
período T de tiempo. El máximo de la f.e.m. del conductor (2) se produce un tercio de vuelta más adelante, o
un tercio de período más tarde. Luego, la sinusoide e2, que representa esa f.e.m., debe estar atrasada
un tercio de ciclo, o 120° (puesto que un período se cumple en un giro de 360°), con respecto a e1.
Finalmente, el valor máximo de la f.e.m. inducida en el conductor (3) se produce un tercio de período más tarde que en el
conductor (2), de modo que la sinusoide e3 debe atrasar otros 120° con respecto a e2.
Resulta que e3 atrasa 240° con respecto a e1, o, lo que es lo mismo, adelanta 120°
con respecto a dicha tensión inducida en el conductor (1).
Las tres f.e.m. inducidas en los tres conductores están defasadas 120° entre sí. Un sistema así se denomina
"trifásico".
Para observar mejor los defasajes recíprocos, hagamos el diagrama vectorial de esas tres tensiones (fig. 7). Si representamos el valor eficaz
de la f.e.m. por un vector vertical E1, la tensión eficaz E2 debe estar atrasada
120° respecto de la primera. Asimismo, el valor eficaz de la f.e.m. inducida en el conductor (3) debe atrasar 120° con respecto a
E2, por lo que el vector E3 aparece en la forma que se ve en la figura. Suponemos que las
magnitudes de las tres tensiones son iguales, por lo que los vectores tendrán igual longitud.
Si se forman circuitos con el sistema trifásico, se tienen dos posibilidades, que veremos separadamente: los circuitos estrella y
triángulo.

Circuitos trifásicos en estrella
En la práctica, los tres conductores del generador de la figura 5 se sustituyen por sendas bobinas, de modo que en los esquemas tendremos en
cuenta este detalle. Si unimos los tres extremos de las tres bobinas en un punto y dejamos los otros tres extremos libres, habremos formado una
conexión que se llama "en estrella" (ver fig. 8). De los extremos 1, 2 y 3 salen las tres líneas, y del punto 0 sale el
llamado conductor neutro.


Circuito trifásico en estrella, con generador y carga estrella de 6 MΩ, verificación de valores mediante
NI Multisim.

Circuito trifásico en estrella, con generador y carga estrella de 6 MΩ, verificación de tensiones por fase y entre fases,
y valores de corrientes por fase y total, mediante NI Multisim.
Se tienen formados, así, tres circuitos monofásicos, que tienen un conductor común (el neutro).
Las impedancias de carga, que representan el consumo, se conectan entre un conductor de línea y el neutro, como se indica en la figura,
habiendo entre esos dos conductores la tensión eficaz llamada de fase, porque es igual a la que suministra una de las bobinas que
constituye una fase del sistema.
En efecto, la misma tensión que hay entre los puntos 0 y 1 se mantiene, salvo las caídas en la línea, a lo largo de ésta,
de modo que resulta aplicada a los extremos de la impedancia Z de carga. En las otras fases pasa lo mismo: la tensión entre
0 y 2 es la de fase y se aplica a la otra impedancia de carga; para la fase 3, cuya tensión se mide entre los puntos 0 y 3, sucede
lo mismo.
Veamos qué tensión hay entre los puntos 1 y 2, o entre 2 y 3, o entre 3 y 1. Esta tensión se llama de línea,
pues se mide entre dos conductores de línea, sin que intervenga el neutro.
La diferencia de potencial entre los puntos 1 y 2, por ejemplo, se halla haciendo la diferencia entre las tensiones E1 y
E2, pues sus vectores tienen sentidos opuestos (ver fig. 9). De modo que podemos escribir:

Teniendo carácter vectorial las operaciones indicadas. Se ve que puede sustituirse la resta vectorial por una suma, siempre que se cambie el
sentido a uno de los vectores. Debemos sumar, pues, E1 con el opuesto de E2 para tener la
tensión de línea El.

Pero obsérvese que si entre las rectas OB y OA hay un ángulo de 120°, entre OA y OD debe haber 60°, pues es el suplemento hasta
180°. Como OA = OD, el ángulo entre OA y OF debe ser la mitad de 60°, es decir, 30°. Bajemos la perpendicular desde A a la recta
OF, obteniéndose el punto G. El segmento OG es el cateto de un triángulo rectángulo, en el cual se cumple:
OG = OA · cos 30° = E1 · 0,866
Y como OF es el doble de OG, la tensión de línea está dada por el doble de la expresión anterior, es decir:

Donde Ef es la tensión de fase. Lo mismo puede deducirse para las otras fases. Por lo tanto, la tensión
entre dos líneas de un sistema trifásico en estrella es igual a la tensión entre una línea y el neutro, multiplicada por 1,73.
Veamos lo que sucede con las corrientes del sistema. Para cada fase se puede hacer un diagrama vectorial con la tensión de fase y, defasada de
ella del ángulo correspondiente a la impedancia conectada, la intensidad de corriente (ver fig. 10).

Así como hemos llamado tensión de fase a la que hay entre los extremos de cada bobina (una fase del sistema), y tensión de línea
a la que se mide entre dos conductores de línea (sin contar el neutro), llamaremos corriente de fase a la que pasa por una bobina de fase
y corriente de línea a la que circula por un conductor de línea. Observando la figura 10, se ve enseguida que en el sistema estrella
esas dos corrientes son iguales, de modo que:
If = Il
Ahora bien, las tres corrientes de línea concurren al punto neutro a través de las impedancias de carga y por el conductor neutro. En este
conductor, pues, tendremos la suma vectorial de las tres corrientes de línea. Si las tres corrientes son iguales entre sí y están
defasadas regularmente, su suma es nula, lo que permite afirmar que por el conductor neutro no circula corriente.
Si, en cambio, las tres corrientes no son iguales o no están defasadas 120° entre sí, por el neutro circula la resultante vectorial de esas
tres corrientes. Esto puede tener origen en el hecho de que las tres impedancias conectadas a las tres fases no sean iguales, lo que sucede frecuentemente
en la práctica.
Ejemplo:
Un motor trifásico conectado en estrella a una red de 220 V absorbe 20 A de línea. ¿Cuánto valen la tensión e intensidad
por fase?
Si en la fórmula:

Se despeja el valor de la tensión por fase, se tiene:

De acuerdo con la fórmula:

La intensidad por fase será la misma que la de la línea, es decir, 20 A.
Circuitos trifásicos en triángulo
Supongamos que, en lugar de unir tres extremos de las bobinas y dejar libres los otros tres, conectamos esas bobinas del generador en la forma que se ve
en la figura 11. Tal conexión forma un sistema "en triángulo" (delta). Los tres conductores de línea se unen a los tres vértices
del triángulo.

En este caso no disponemos de hilo neutro, puesto que tampoco hay punto neutro. Las tensiones de fase, presentes entre los puntos 1 y 2, 2 y 3, y 3 y 1,
se pueden medir también entre los conductores de línea. Esta es la primera característica del sistema delta, pues si llamamos
El a la tensión de línea y Ef a la de fase, se tiene:
El = Ef
Si conectamos tres impedancias de carga Z, una en cada fase (entre cada par de líneas), se producen tres corrientes de consumo.
Si esas corrientes las medimos en la línea, tenemos la corriente de línea: I1 para la línea 1,
I2 para la línea 2, e I3 para la línea 3. Pero si las medimos al pasar por la bobina,
se ve que entre dos vértices no puede pasar la misma intensidad que por la línea.
La corriente de la línea 1 proviene de las dos bobinas intercaladas entre 1 y 2, y entre 1 y 3. Luego, para calcular la corriente de línea,
debemos hacer una composición vectorial, tomando esas dos corrientes con sus sentidos respectivos, que son opuestos entre sí.
Repitiendo la deducción (análoga a la usada para tensiones), llegamos a la conclusión de que, si la corriente de fase es
If y la de línea Il, se cumple:

Es decir, en un sistema en triángulo, la corriente de línea es igual a la corriente de fase multiplicada por 1,73.
Luego, si bien el sistema en estrella requiere un conductor neutro adicional, los conductores de la línea pueden tener menor sección que en el
sistema en triángulo, y en la proporción de 1 a 1,73.

Para representar el sistema triángulo por un diagrama vectorial, se puede hacer como se indica en la figura 12. Los tres vectores tienen igual
longitud (suponemos las tres tensiones iguales) y están desfasados 120° entre sí. A primera vista parecería que el desfasaje es de 60°,
pero debe cuidarse el sentido de los vectores y medir esos ángulos en la forma indicada en la figura.

Circuito trifásico en triángulo, con generador y carga triángulo de 6 MΩ, verificación de valores mediante
NI Multisim.

Circuito trifásico en triángulo, con generador y carga triángulo de 6 MΩ, verificación de valores entre dos fases con osciloscopio,
mediante NI Multisim.

Ejemplo:
Un motor trifásico tiene su bobinado conectado en triángulo y está acoplado a una red de 220 V, de la que absorbe 30 A.
¿Cuánto valen la tensión y la intensidad por fase?
La tensión por fase es la misma que la de línea:
Vf = Vl = 220 V
La intensidad por fase se halla despejando este valor en la fórmula:

Tendremos, pues:

Ejemplo:
Calcúlense las potencias aparente y activa de un alternador trifásico que, con una tensión en bornes de 3.000 V, suministra por cada
conductor de línea 50 A, bajo un factor de potencia de 0,88.
Potencia aparente:
Pz = √3 · VL · IL
Pz = 1,73 × 3.000 × 50 = 259.500 VA = 259,5 kVA
Potencia activa:
P = √3 · VL · IL · cos φ
P = 1,73 × 3.000 × 50 × 0,88 = 228.360 W = 228,36 kW
Ejemplo:
Calcular un circuito trifásico conectado en estrella (ver figura), sabiendo que cada fase está constituida por una bobina de 5 Ω de
resistencia y coeficiente de autoinducción de 0,02 H. La tensión de la red es de 220 V.

Fig. Circuito trifásico en estrella
Suponiendo que las tres fases del sistema están equilibradas, basta con calcular una sola, pero se ha de tener en cuenta que la tensión por fase es
√3 veces menor que la de línea. Así pues, se tiene:

La reactancia de una fase vale:
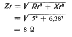
Xf = 2 π f Lf = 2 × 3,14 × 50 × 0,02 = 6,28 Ω
La impedancia por fase vale:

La intensidad de corriente por fase (igual a la de línea) tiene un valor:
If = IL = Vf/Zf = 127/8 = 15,87 A
Para calcular el ángulo de desfase de la corriente respecto a la tensión, determinamos primeramente su tangente:
tg φ = Xf/Rf = 6,28/5 = 1,26
Así pues, el ángulo de retraso es φ = 51° 30′, siendo el factor de potencia
cos φ = 0,623 y sen φ = 0,782.
Para calcular las potencias, se ha de tener en cuenta que es un sistema trifásico.
Potencia aparente:
Pz = √3 · VL · IL = 1,73 × 220 × 15,87 = 6.230 VA = 6,23 kVA
Potencia activa:
P = √3 · VL · IL · cos φ = 1,73 × 220 × 15,87 × 0,623 = 3.880 W = 3,88 kW
Potencia reactiva:
Q = √3 · VL · IL · sen φ = 1,73 × 220 × 15,87 × 0,782 = 4.780 VAr = 4,78 kVAr
Conceptos destacados :
| three-phase circuit ( electrical engineering – power systems ) |
(circuito trifásico). Sistema de CA con tres tensiones desfasadas 120° entre sí. |
| single-phase circuit ( electrical engineering – alternating current ) |
(circuito monofásico). Circuito de CA con una sola tensión entre dos bornes. |
| phase ( electrical engineering – alternating current ) |
(fase). Estado de variación angular de una magnitud sinusoidal respecto de otra. |
| sinusoidal waveform ( electrical engineering – signals ) |
(onda sinusoidal). Representación típica de la tensión alterna en función del tiempo. |
| phasor ( electrical engineering – AC analysis ) |
(fasor / vector). Representación vectorial del valor eficaz y el ángulo de fase de una señal sinusoidal. |
| RMS value ( electrical engineering – measurements ) |
(valor eficaz). Valor equivalente en CC que produce la misma potencia en una resistencia. |
| line voltage ( electrical engineering – power systems ) |
(tensión de línea). Tensión medida entre dos conductores de línea en un sistema trifásico. |
| phase voltage ( electrical engineering – power systems ) |
(tensión de fase). Tensión entre una línea y el neutro (estrella), o entre bornes de una fase. |
| line current ( electrical engineering – power systems ) |
(corriente de línea). Corriente que circula por un conductor de línea. |
| phase current ( electrical engineering – power systems ) |
(corriente de fase). Corriente que circula por una bobina o impedancia de una fase. |
| two-phase system ( electrical engineering – power systems ) |
(sistema bifásico). Sistema con dos f.e.m. desfasadas 180° (oposición de fase). |
| phase opposition ( electrical engineering – AC fundamentals ) |
(oposición de fase). Condición en la que dos tensiones o corrientes están desfasadas 180°. |
| neutral conductor ( electrical engineering – power distribution ) |
(conductor neutro). Conductor común de referencia (casi a potencial de tierra) en conexiones en estrella. |
| star connection (Y) ( electrical engineering – power systems ) |
(conexión estrella). Unión de los extremos de tres fases en un punto común (neutro). |
| delta connection (Δ) ( electrical engineering – power systems ) |
(conexión triángulo). Conexión cerrada de tres fases formando un triángulo, sin neutro. |
| impedance ( electrical engineering – AC circuits ) |
(impedancia). Oposición total al paso de corriente alterna (resistencia + reactancia). |
| vector sum ( electrical engineering – AC analysis ) |
(suma vectorial). Operación fasorial usada para obtener tensiones o corrientes resultantes. |
| line-to-phase ratio ( electrical engineering – three-phase ) |
(relación línea-fase). En estrella: VL = 1,73 · Vf; en triángulo: VL = Vf. |
| current ratio in delta ( electrical engineering – three-phase ) |
(relación de corrientes en triángulo). En delta: IL = 1,73 · If. |
| power factor ( electrical engineering – AC power ) |
(factor de potencia). cos φ; relación entre potencia activa y aparente en CA. |
|