Vocabulario técnico inglés-español – Technical Glossary

Recursos para técnicos y estudiantes – Technical and student resources

Buscar en www.sapiensman.com:


Amber Sceats jewellery combines timeless sophistication with versatility, style & glamour

 

ELECTROTECNIA - INSTALACIONES ELÉCTRICAS

EQUIPOS DE MEDICIÓN

La parte mas importante en el estudio de la Electrotecnia es la medición de las variables eléctricas tales como: Voltaje, Corriente, Potencia, Resistencia, Factor de Potencia, etc. Para este propósito existen diferentes equipos de medición, de los cuales los siguientes son los utilizados en el laboratorio.

VOLTÍMETROS. FUERZA ELECTROMOTRIZ, DIFERENCIA DE POTENCIAL Y VOLTAJE

La fuerza electromotriz  se crea por medio de una pila o de cualquier fuente de energía eléctrica, como un generador o una dinamo, y se mide en voltios (denominación debida al científico italiano Alessandro Volta, 1745-1827). La diferencia de «nivel» eléctrico, llamada diferencia de potencial entre dos puntos de un circuito también se mide en voltios. Los dos conceptos «fuerza» y «nivel» son simplemente dos formas distintas de describir el motivo por el que se mueven las cargas, por lo cual es lógico medirlos en las mismas unidades.

Cuando una f.e.m. (fuerza electromotriz) o una diferencia de potencial producen el movimiento de cargas eléctricas, que a su vez pueden hacer lucir una lámpara o mover un motor, hay claramente una transferencia de energía desde la fuente de electricidad a la lámpara o al motor. Por ejemplo, la energía química de la pila se transforma en energía térmica y luminosa en la lámpara. Como en otras ramas de la física, cuando hay una transferencia de energía de un objeto a otro, se debe realizar un trabajo para producir el efecto.

El trabajo realizado es igual a la cantidad de energía transferida, midiéndose ambos en julios. (Para levantar una masa de 100 g a una altura de 1 m del suelo se debe realizar un trabajo de 1 J aproximadamente, lo que quiere decir que se debe transferir un julio de energía desde el cuerpo que lo levanta al objeto.) Por tanto, la unidad de fuerza electromotriz o de diferencia de potencial, el voltio, debe relacionarse con la cantidad de trabajo que se necesita para mover los electrones (o las cargas), lo que significaría que el voltio debe estar relacionado con el julio y el culombio.

Simplemente diremos que 1 V es igual a 1 J dividido por 1 C y es la unidad de medida del «nivel» eléctrico.

La forma más fácil de medir diferencias de potencial es utilizando un voltímetro, que se fabrica de forma similar a un amperímetro, pero adaptado para medir voltios en vez de amperios. La diferencia más importante que hay entre un voltímetro y un amperímetro es que aquél está diseñado de forma que tenga una resistencia grande  y se conecta en los circuitos de forma diferente.

Mientras que el amperímetro se intercala directamente en el circuito, de forma que la corriente a medir pase a través del instrumento mismo, el voltímetro se conecta entre los dos puntos cuya diferencia de potencial se quiere medir. Por tanto, el voltímetro se puede conectar entre dos puntos del circuito sin tener que desconectar ninguna parte ni ningún cable e incluso, si se tiene cuidado, sin apagar el circuito. Por supuesto, hay una pequeña corriente que circula por el voltímetro, pero si se elige cuidadosamente el instrumento, esta corriente no afecta prácticamente a los voltajes a medir.

Con un voltímetro se puede medir la diferencia de potencial que «cae» en un componente o el potencial de un punto respecto a otro.

El voltímetro es un instrumento para la medición de voltajes de corriente continua o alterna (existen algunos específicos para cada tipo de corriente). El laboratorio utiliza voltímetros sencillos con indicación digital que deben manejarse siguiendo las siguientes recomendaciones :

Un voltímetro posee dos terminales de medición generalmente nombrados como “positivo (generalmente de color rojo)” y “negativo (de color negro)”. La conexión para la lectura de un voltaje debe hacerse en paralelo al elemento a medir. Cuando se mide voltajes de corriente continua debe tenerse en cuenta que la posición del terminal “positivo” del medidor debe estar en el positivo del elemento.

En los digitales, cuando se invierten los terminales de medida, marcan la señal con signo menos, pero en los voltímetros analógicos (de indicación con aguja) esta acción puede causar daños graves en el equipo de medición.

Voltaje o diferencia de potencial en disposiciones en serie y en paralelo.

Si se tienen en cuenta las ideas de «nivel» eléctrico o fuerza eléctrica que llamamos voltaje o diferencia de potencial, se pueden sacar directamente dos conclusiones que pueden ser útiles al tratar otros circuitos que veremos posteriormente.

Tener en cuentra que:

La suma de las diferencias de potencial por separado V1, V2 y V3 que caen en los componentes conectados en serie es igual a la diferencia de potencial total que cae en ellos

V = V1 +V2 +V3

La diferencia de potencial V que cae en cada componente conectado en paralelo debe ser la misma.

AMPERÍMETROS

Es un instrumento para la medición de corriente, continua o alterna (existen algunos específicos para cada tipo de corriente). El laboratorio utiliza amperímetros sencillos con indicación digital que deben manejarse siguiendo las siguientes recomendaciones:

Un amperímetro posee dos terminales idénticas a las de los voltímetros. La conexión para la lectura de una corriente debe hacerse en SERIE  con el elemento a medir. Cuando se miden corrientes continuas debe tenerse en cuenta que la posición de los terminales del medidor (positivo y negativo) deben estar en el mismo sentido de la dirección de la corriente.

Cuando no puede interrumpirse un circuito para medir la corriente que circula por un conductor, pueden utilizarse equipos de medición tipo pinza (Pinza Ampermétrica). Un error en la conexión del amperímetro, a diferencia del voltímetro donde se genera un daño en el equipo, causa inmediatamente un CORTOCIRCUITO.

Tener en cuenta que :

Circuito eléctrico serie: En una disposición en serie la corriente que circula a través de cada componente es la misma.

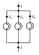
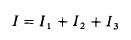
Circuito eléctrico paralelo: En una disposición en paralelo la corriente total que entra es igual a la suma de las corrientes que circulan por cada rama:

VATÍMETROS

Es un instrumento para la medición de potencia eléctrica (existen algunos vatímetros específicos para cada tipo de potencia). El laboratorio utiliza vatímetros con indicación digital para corriente alterna que deben manejarse siguiendo las siguientes recomendaciones :

Un vatímetro posee por lo menos cuatro terminales para las conexiones que permiten medir la corriente y el voltaje en el circuito, y así poder calcular la potencia (P=V*I*CosΘ). La conexión para la lectura de una potencia debe hacerse según el siguiente diagrama.

 El vatímetro toma una muestra de la corriente y una muestra del voltaje

Un error en la conexión del vatímetro genera un daño en el equipo y causa inmediatamente un CORTOCIRCUITO.

MULTÍMETRO DIGITAL

Un multímetro es un equipo de medición que incorpora un amperímetro, voltímetro, ohmetro (medición de resistencia), ganancia de transistores, entre otros. Debe tenerse especial cuidado con estos equipos ya que es muy común confundir los terminales o los selectores cuando se va a realizar una medición.

  • Las reglas para conectar el aparato de medición son las mismas del voltímetro y amperímetro. Además cuando se va a medir resistencia es importante garantizar que el circuito a medir esté libre de energía eléctrica (desenergizado).
  • Cuando se va a medir voltaje o corriente y no se conoce su valor aproximado debe comenzar a buscar este valor partiendo de las escalas más altas.
  • Dependiendo de la variable a medir, antes de realizar la medición, debe garantizarse que el equipo esté seleccionando dicha variable.
  • Generalmente los multímetros digitales poseen tres terminales, un común para voltaje y corriente y un terminal para cada variable (un terminal para voltaje con el común y un terminal para corriente con el común).

Figura: Simbología eléctrica básica

OSCILOSCOPIO

El osciloscopio es un instrumento que nos sirve para medir voltajes de corriente alterna o directa, frecuencias y desfasaje entre dos señales, sin embargo la parte mas importante del osciloscopio es que nos permite ver la forma de la señal que se esta midiendo.

Normalmente los osciloscopios tienen dos canales de medición, es decir que nos permiten medir dos señales al mismo tiempo.

Debe tener cuidado con no superar los rangos permitidos por el equipo, es decir, no medir voltajes por encima de las especificaciones del instrumento

¿Cuántos tipos de conductores hay? Según la tensión que transporten: Conductores de alta tensión: Son cables de aluminio (porque se reduce peso, al haber grandes distancias)

Conductores de baja tensión: Son cables de cobre con un aislante exterior de plástico (viviendas).

Los cables de las viviendas modernas llevan tres cables de cobre, diferenciados en su color:

  • Marrón, negro o gris : Fase (Con tensión. Es de donde viene la electricidad)
  • Azul : Neutro (Sin tensión. Es por donde vuelve parte de la electricidad una vez hecho el consumo)
  • Amarillo y verde (a rayas) : Tierra (Sin tensión. Es un cable de protección, que actuaría de neutro), como su nombre lo indica es el cable que conecta todas las partes de un circuito que deben estár al potencial de tierra, o sea protegidos de descargas eléctricas (mallas metálicas protectoras, puertas, gabinetes, muebles metálicos, etc. ) , y por lo tanto seguros para el personal operario.

REGLAS PARA EL TRABAJO EN INSTALACIONES ELÉCTRICAS

1. Antes de realizar cualquier trabajo eléctrico reconozca los sitios donde se encuentran los interruptores (dispositivo de protección contra corto circuito) y los extinguidores.

Asegúrese que estos lugares queden libres de obstáculos y de rápido acceso.

2. De ser posible trabaje con circuitos sin tensión (haga todas las conexiones, verifíquelas y por último encienda la fuente de tensión).

3. Utilice las herramientas adecuadas. Por ejemplo si se va a medir corriente utilice amperímetros (haciendo caso a las recomendaciones ya descritas).

4. Al conectar un equipo de medición coloque primero el terminal negativo a tierra y realice las medidas con una sola mano. Es decir, que se coloca un terminal como común (fijo al circuito) y con el otro terminal se realizan las mediciones.

5. Al desconectar un equipo de medición de un circuito, siempre debe retirarse primero el terminal positivo y luego el terminal negativo.

6. No olvidar NUNCA que cuando se mide corriente el amperímetro debe conectarse en serie al circuito a medir y el voltímetro en paralelo al mismo.

PELIGROS DE LA CORRIENTE ELÉCTRICA

Hay situaciones en que es necesario referir las tensiones (o voltajes) a un nivel cero y saber si los valores que toman están por encima o por debajo de esta referencia. Hay dos formas para definir este cero arbitrario, una teórica y otra práctica. La teórica dice que este punto está muy lejos (infinitamente lejos) de cualquier objeto cargado, diciéndose entonces que se encuentra a potencial cero. Esta idea es útil para los científicos matemáticos, pero no es fácil de utilizar en la vida normal.

La forma práctica considera como cero el potencial al que se encuentra la Tierra. Esta consideración es similar a la que se hace tomando el nivel del mar como referencia arbitraria para las alturas en la tierra y las profundidades en los océanos. El gran volumen del mar hace que su nivel medio no se afecte notablemente, a pesar de que hay entradas y salidas de agua en el mismo, siendo un nivel de referencia cero aceptable para medir alturas. De forma similar, un  objeto tan grande como la Tierra no tendrá cambios notables en su nivel eléctrico, a pesar de que entran y salen millones de electrones a la misma; por eso, en la práctica sirve como cero de potencial.

La conexión o puesta a tierra de aparatos tales como un calentador eléctrico es una norma de seguridad. Literalmente, quiere decir que se debe conectar con un cable a la tierra. Esto se debe hacer para mantener el objeto y la persona que lo maneja al mismo potencial, el potencial de tierra, que es cero, de forma que no pueda pasar ninguna corriente del aparato a la persona, produciendo una descarga eléctrica en ésta cuando maneja el aparato.

A veces es útil en los circuitos eléctricos conectar a tierra ciertos puntos para conocer sus potenciales, nulos en este caso, y poder saber de esta forma los potenciales de otros puntos. El chasis metálico donde se monta el circuito sirve muy bien para conectarlo a tierra.

Conceptos de masa y tierra, dos términos bien diferentes que, sin embargo, suelen ser confundidos entre sí:

Masa (Ground).- Referencia arbitraria de tensiones en un circuito. Suele asociarse al terminal más negativo de la alimentación del circuito en caso de alimentación asimétrica o al punto intermedio si la alimentación es simétrica.

Por ejemplo, en un circuito alimentado con una batería de 9 V el terminal negativo de la batería se suele considerar masa. En un circuito alimentado a +12 V y -12 V, el punto intermedio se considera masa. El punto de masa en nuestro circuito (recordemos que la elección es arbitraria, podemos tomar el punto que queramos) lo utilizaremos como referencia para medir diferencias de tensiones, de modo que cuando decimos que “la tensión en el punto A es de 4 voltios” lo que realmente estamos diciendo es que la diferencia de tensión entre el punto A y la masa del circuito es de 4 voltios.

Tierra (Earth).- Potencial de referencia con respecto al cual se relacionan, voluntaria o involuntariamente, todas las tensiones de un sistema. Suele asociarse al potencial de la tierra  física . Si nos encontramos en un barco, el mar será la tierra de nuestro sistema. Si nos encontramos en un avión, el fuselaje del avión será tierra. Viene a ser, entonces, un conductor de grandes dimensiones situado en las inmediaciones de nuestro circuito o sistema eléctrico o electrónico.

Figura. Símbolos comúnmente empleados para masa y tierra

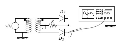
A la hora de realizar una medida es necesario saber diferenciar entre masa del instrumento, masa del circuito a medir y tierra. Las tres pueden coincidir o ser distintas. En el circuito de la figura siguiente, un rectificador de doble onda, la fuente de señal está referida a tierra. Masa y tierra coinciden en el primario del transformador.

En el secundario, sin embargo, se considera que el punto intermedio de la bobina es masa. Esta elección (arbitraria) se indica mediante el correspondiente símbolo en la figura . Masa y tierra no coinciden en este caso.

Si ahora queremos observar la forma de onda en la carga (resistencia R) mediante un osciloscopio, debemos tener en cuenta que el terminal de masa de la sonda está internamente conectada a tierra a través de la conexión de alimentación a la red eléctrica. En este caso, si dejamos la masa de la sonda sin conectar (al aire) estaremos midiendo la diferencia de tensión entre el cátodo de los y tierra y no la diferencia de tensión entre terminales de la carga. Esto es así porque tierra y masa en el secundario del transformador no coinciden.

Para medir la diferencia de tensión en la carga debemos conectar el terminal de masa de la sonda (masa del instrumento) al punto intermedio del secundario del transformador (masa del circuito a medir). Al hacer esto forzamos la masa del circuito a tierra.

El cuerpo de los seres humanos y animales conduce la corriente eléctrica. La corriente produce quemaduras y paraliza los músculos, por lo que el accidentado es incapaz de desprenderse del lugar de contacto. Si la corriente circula a través del corazón humano, los latidos se aceleran irregularmente, aparecen palpitaciones ventriculares. Como consecuencia cesan las actividades de circulación y respiración.

Las consecuencias de un accidente eléctrico dependen de la corriente que fluye por el cuerpo al entrar en contacto con una tensión eléctrica. Por experiencias se sabe que una corriente de 50 mA puede ya producir la muerte, si circula a través del corazón.

La corriente que fluye a través del cuerpo depende de la tensión y de la resistencia del cuerpo. Esta resistencia se compone de la pequeña resistencia interior del cuerpo y de la resistencia de la piel a la entrada y salida del cuerpo, la cual depende asimismo de las circunstancias exteriores. La piel y vestidos secos oponen una gran resistencia. Con humedad, por ejemplo sudor o suelo mojado, la resistencia es pequeña. Además, es tanto mayor cuanto menor sea la superficie de contacto.

La corriente alterna de 60 Hz es más peligrosa que la corriente continua. Las corrientes de alta frecuencia sólo circulan sobre la superficie de la piel. Mientras que las tensiones por debajo de 1000 V producen la muerte por paralización del aparato respiratorio y asfixia, las instalaciones de alta tensión producen accidentes de quemaduras muy intensas.

“La electricidad no es tonta”, eso significa que cuando la corriente circula encontrando dos caminos por donde ir y en uno de ellos hay mas resistencia que en el otro, la corriente circulará por donde haya menos resistencia. Por tanto como nuestro cuerpo tiene más resistencia que la Tierra… ¡ya sabes!.