CAÍDA DE LOS CUERPOS
Inglés:
Laws of falling bodies: A set of fundamental principles that describe the motion of objects in free fall near the Earth's surface. These laws state that, in the absence of air resistance, all objects fall with the same constant acceleration due to gravity, regardless of their mass. They form the basis for the study of mechanics and classical physics.
Español:
Leyes de la caída de los cuerpos: Conjunto de principios fundamentales que describen el movimiento de los objetos en caída libre cerca de la superficie terrestre. Estas leyes establecen que, en ausencia de resistencia del aire, todos los objetos caen con la misma aceleración constante debido a la gravedad, independientemente de su masa. Constituyen la base para el estudio de la mecánica y la física clásica.
Leyes de la caída de los cuerpos.
Dichas leyes surgen de las fórmulas del movimiento uniformemente acelerado,
haciendo la aceleración igual a
g = 9,81 m/seg2

Como la velocidad inicial es nula, c = 0 y se tiene:

y despejando:

Ejemplo1. Desde un globo aerostático se dispara verticalmente un tiro hacia el suelo. La
bala tiene una velocidad inicial de 300 metros/seg. y emplea 5" para llegar
al suelo.
- ¿A qué altura se encontraba el globo?.
- ¿Cuál será la velocidad
del proyectil al tocar la tierra?

Distancia total bajada desde el globo hasta el suelo: 1622.5 m
1º Ley: La aceleración es constante e igual a g.
(g = 9m,81 en París.)
2º. Las velocidades adquiridas crecen proporcionalmente al tiempo de caída.
Sean v1 y v2 las velocidades al cabo de los tiempos t1 y t2 ; se tiene:

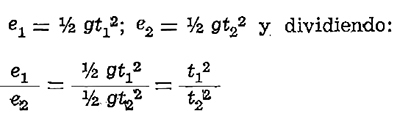
3º. Los espacios recorridos son proporcionales al cuadrado
de los tiempos de la caída.
Sean los espacios e1 y e2 recorridos en t1 y t2; se tiene:

4º. En el vacío los cuerpos caen con la misma velocidad.
Ascensión vertical y caída de un cuerpo.
a) Altura máxima que alcanza un cuerpo arrojado verticalmente
con una velocidad inicial dada. (Una bala de fusil por ejemplo).
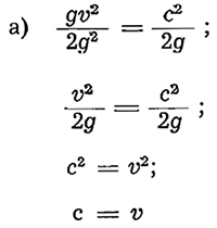
Sea c la velocidad inicial. Después de un tiempo t la velocidad
es cero; luego:

La altura es igual a La velocidad media: c/2, multiplicada por
el tlempo: c/g

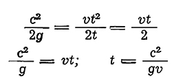
b) Al caer, el cuerpo tardará el mismo tiempo que empleó para
subir (o sea c/g) y tocará el suelo con una velocidad v, igual a la velocidad inicial (o sea c).
En efecto, el cuerpo al caer efectúa un movimiento uniformemente
acelerado sin velocidad inicial; luego, tenemos:

Reemplazando t por su valor en (a), se tiene:

O sea que:
v (velocidad al tocar el suelo) = c (velocidad inicial)
En cuanto al tiempo que ha de ser: t = c/g, se tiene

y reemplazando en (a):

y como c = v, queda:

Ejemplo 2. ¿Qué altura alcanzará un cuerpo lanzado verticalmente con una velocidad inicial de 300 metros/seg.? ¿En cuánto tiempo la habrá alcanzado?
Después de t segundos la velocidad es cero.
Luego :

Ejemplo 3. ¿Cuál es la profundidad de un pozo sabiendo que una piedra tarda
10" para llegar al fondo?; g= 9,80 m/seg2

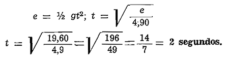
Ejemplo 4. De una torre que tiene una altura de 19m,60 se deja caer una piedra.
¿Cuánto tiempo tardará en alcanzar el suelo?

Ejemplo 5. Un pedazo de carbón que cae libremente en una mina recorre 44,90
m en 3"; ¿Cuál es la aceleración debida a la gravedad?

Ejemplo 6. ¿Cuál es la velocidad de un cuerpo que cae en caída libre desde
una torre de 150 metros de altura?
En el movimiento de la caída de los cuerpos, el espacio e, la velocidad v y el tiempo t están ligados por las dos fórmulas:

Para obtener la relación entre la velocidad v y el espacio e, basta eliminar
el tiempo t.
La segunda ecuación da:

llevado este valor en la primera ecuación, resulta:

Tal es la fórmula que expresa la velocidad adquirida, en función del
espacio recorrido.
Sustituyendo
g = 9,81m/seg2 y e = 150 m.
se obtiene:

Así pues, después de 150 m. de caída, el cuerpo poseerá una velocidad de 54,24 m/seg
Ejemplo 7. ¿Qué altura alcanzará una bala de cañón disparada verticalmente
con una velocidad inicial vo = 500 m/seg.? Se prescinde de la resistencia del aire.
La fórmula:

Ejemplo 8. ¿Cuál es la velocidad de la misma bala a la altura de 6.000 m.?
Para calcular v en función de e basta eliminar t en las dos fórmulas del
movimiento:

La velocidad a la altura de 6.000 m. es, pues, de 363 m/seg tanto en la subida
como en la caída, conforme lo indica el signo doble ±. |