PRINCIPIO DE CONSERVACIÓN DE LA ENERGÍA
La ley más general del mundo físico es la de la conservación de la energía.
Consideremos el siguiente caso (fig. 19):

Figura 19. Principio de transformación de la energía. La energía se transforma, no se crea.
a) Por combustión del carbón se obtiene energía eléctrica; por ejemplo. corriente eléctrica;
b) De esa energía eléctrica se obtiene:
- Energía cinética (movimiento de un motor, del tren eléctrico, etc.);
- Energía calórica (estufa
eléctrica, plancha, etc.);
c) De esa energía cinética se obtiene energía potencial; por ejemplo, ascenso de un bulto a cierta altura mediante montacargas;
d) De esa energía eléctrica se obtiene energía química; por ejemplo, hacemos actuar una corriente eléctrica sobre una solución de sal de cocina y ésta se descompone en dos nuevas sustancias.
El combustible que arde en el hogar de una locomotora, produce energía calórica, la que permite desplazarse al tren (energía cinética ).
Mientras está en movimiento, por rozamientos se produce calor en las vías, en los ejes y en el mismo aire; es decir que, si bien toda la energía producida por el combustible no se transforma en energía cinética (movimiento), se producen simultáneamente otros tipos de energía, cuya suma es igual a la energía brindada por el combustible.
La energía adquirida o perdida por un cuerpo es igual a la energía perdida o ganada por el medio que lo rodea.
En el caso de la dinamita empleada para extraer o romper la piedra de la cantera, la energía química de esa dinamita se transforma en energía mecánica y rompe la piedra.
La energía cinética del viento hace girar la hélice del aerocargador y se puede transformar en energía eléctrica (fig. 20).

Figura 20. El viento mueve la rueda del molino y se eleva el agua: hay transformación de energía.
Cosa similar ocurre con los molinos de viento para extraer agua.
Podemos asegurar que siempre que se libere una energía se producirá su transformación en otra.

Figura 21. Al caer, el agua mueve el molinete, transformando energía potencial en energía cinética
Supongamos un tanque situado a cierta altura h y lleno de agua. Se habrá "almacenado" cierta energía potencial, es decir (figura 21),
Ec = P h
Cuando ese líquido se libere,
será capaz, al descender por un caño, de realizar un trabajo; por ejemplo, mover una turbina, poner en movimiento un mecanismo, etcétera. La energía potencial se ha transformado en cinética.
Todos los ejemplos citados, e infinidad que se verifican a diario, han permitido dar el siguiente enunciado
del
PRINCIPIO DE CONSERVACION
DE LA ENERGÍA:
La energía no se gana ni se pierde: se transforma o también, la suma algebraica de las variaciones de energía de un sistema, en sus distintas formas, es constante. |
Sistemas conservativos de energía. Son sistemas que no efectúan intercambios de energía con los cuerpos ajenos al sistema.
Como el sistema no envía ni recibe energía al exterior, la energía de dicho sistema es constante y la suma algebraica de las variaciones ha de ser igual a cero.
Se considera como positiva (+) a la energía ganada y como negativa (-) a la perdida.
Un ejemplo de sistema conservativo es el que tratamos a continuación.
Caída y ascensión vertical de un cuerpo.
Si soltamos un cuerpo de cierta altura, al caer en el vacío y en un ambiente de temperatura constante, tendremos los valores y variaciones siguientes:
Antes de soltarlo:
- Energía potencial = a su máxima);
- Energía cinética = a cero (no se mueve).
Antes de llegar al suelo
- Energía potencial: se acerca a su mínima.
- Energía cinética: se acerca a su máxima.
Al llegar al suelo :
- Energía potencial = a cero (altura nula).
- Energía cinética = a su máxima (que cambia en el acto en calor, luz, movimiento, etc.).
Al caer, el cuerpo transforma progresivamente su energía potencial en energía cinética.
Al contrario, si el cuerpo asciende verticalmente con velocidad inicial que le comunica una catapulta:
En el acto de disparar la catapulta
- Energía potencial = a cero (altura nula).
- Energía cinética = a su máxima (que le da la catapulta).
Al llegar a la altura máxima tiene:
- Energía potencia = valor máximo
- Energía cinñetica = cero : (se detiene para cambiar el sentido del movimiento)
O sea que ascendiendo gana energía potencial pero pierde energía cinética.
Luego: Energía potencial ganada + Energía cinética perdida = 0 (cero).
Ver tema relacionado: Leyes de la caída de los cuerpos.
Otros sistemas de conservación de la energía los forman las máquinas sencillas: plano inclinado, poleas, torno, palanca, péndulo.
Mientras se comprime con la mano un muelle, las reacciones de éste efectúan un trabajo negativo, suministrado por la mano, igual y de signo contrario a la energía adquirida por el muelle.
Cuando se afloja disparando un proyectil, la acción del muelle sobre el proyectil efectúa un trabajo positivo que mide la energía perdida por el muelle y ganada por el proyectil.
Degradación de la energía
La energía no se destruye, pero sí se degrada, transformándose en calor que se irradia en el espacio y no se puede recuperar.
Toda acción mecánica y toda transformación de energía va acompañada de rozamientos y otras pérdidas, en que una parte de la energía se inutiliza transformándose en calor.
Llámanse energías superiores aquellas que son completamente reversibles, como la energía mecánica y la eléctrica; y energías inferiores aquellas, que, como el calor, que sólo en parte pueden transformarse en trabajo utilizable.
1- ¿Cuál es la energia potencial de un cuerpo que pesa 50 kg, colocado a 1,8 m sobre
el nivel del piso?
Solución
Como

Respuesta : 90 kgm
Si ese cuerpo cae, ¿con qué energía cinética llega a tierra?
Respuesta. Si su energía potencial es de 90 kgm, llegará al suelo con una energía cinética de 90 kgm, pues la energía no se pierde, se transforma.
2- Un operario carga Q m3 de tierra (peso específico 1,8 ). ¿Que trabajo habrá realizado en joules, kilográmetros y kilovatios-hora para elevarla hasta 1,2 m de altura?
Solución
Como
L = f e
o sea, fuerza por operario, y la fuerza f realizada es igual al peso total de tierra, sabiendo que

que para convertrirlos en joules razonamos de la siguiente manera:

que, a su vez, para convertirlos en kilovatios-hora realizamos el razonamiento siguiente:

Respuesta: 4 320 kgm, 42 336 joules ó 0,0116 kw-h.
3- Una bala de cañón pesa 19,62 kg. y tiene una velocidad inicial de 400 m/seg. ¿Qué trabajo es capaz de efectuar?

4 - Una pesa de 10 kg. está colocada a 20 m de altura. Expresar en kilográmetros el valor de las energías (potencial y cinética), 1º en esta primera posición; 2º al caer, a los 5 m. de la caída; 3º cuando llega al suelo

Fuerza viva.
Se llama fuerza viva de un punto material en un instante determinado, al semiproducto de su masa m por el cuadrado de su velocidad, o sea:

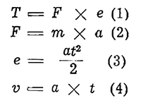
Demostración. - Sea la masa m, que está en reposo cuando se le aplica la fuerza F.
Dicha fuerza constante comunica a la masa un movimiento uniformemente acelerado (2º principio de Newton) y tenemos sucesivamente:

Teniendo en cuenta el valor de F (en 2), de e (en 3) y de t (en 4), la fórmula (1) se convierte en:

Teorema de Las fuerzas vivas. - Cuando una fuerza obra sobre una masa en reposo o animada de una velocidad inicial de la misma dirección, la variación de la fuerza viva de esta masa es igual en magnitud y signo al trabajo realizado por la fuerza durante este mismo tiempo.
Demostración: Sea una masa m animada die una velocidad inicial vo, y una fuerza constante F que empieza a ejercer su acción sobre ella en el sentido de su movimiento. En consecuencia, el movimiento, de uniforme, pasa a ser acelerado y, siendo a la aceleración, su velocidad v después de un tiempo t será:

Aplicación: A fuerza de golpes un martillo introduce una cuña en un trozo de madera dura (por ejemplo quebracho), mientras no produciría este efecto una masa mucho más pesada, colocada encima de la cuña.
En el segundo caso, la masa no actúa sino por su peso y su efecto resulta nulo, ya que se pone en equilibrio con la resistencia del árbol de madera dura.
Al contrario, la fuerza viva del martillo

se transmite a la cuña a cada golpe y lo hace penetrar de una longitud (e) por pequeña que sea.
Siendo F la resistencia del quebracho se tiene, según el teorema de las fuerzas vivas:

Luego; por grande que sea E (E = e + e + e + ... ), nunca e es absolutamente nulo y a fuerza de golpes, el martillo acabará por introducir la cuña.
|