ANÁLISIS DE MALLAS Y NODOS DE CORRIENTE CONTINUA
Corrientes en ramas y mallas
En la figura 1 (a) se muestra una red activa con tres ramas. Puede obtenerse una solución
para las corrientes de rama I1, I2, I3, aplicando la ley de Kirchhoff de la corriente a los nodos principales e igualando los voltajes de las ramas paralelas. Así, la ley de Kirchhoff de la corriente en el nodo a da I1 = I2 + I3; y el voltaje Vab puede ser escrito para cada una de las tres ramas, cuando los
elementos dentro de éstas están especificados. El resultado será tres ecuaciones independientes
en las tres corrientes desconocidas de rama.

Figura 1. Red activa con tres ramas
En la figura 1(b) las corrientes en malla I1 e I2 están asignadas a la misma red de tres ramas.
La corriente en la rama central (flecha punteada) está dada por la diferencia de las dos corrientes
de malla, I1 - I2 Asi pues, la ley de Kirchhoff de la corriente está implícitamente incluida en el método de corriente de
malla. Pueden obtenerse dos ecuaciones independientes en las incógnitas I1 e I2 mediante la aplicación
de la ley de Kirchhoff del voltaje (LKV) a las dos trayectorias en las cuales fluyen las corrientes
de malla. Por lo general es mejor recorrer las trayectorias en la misma dirección que las corrientes, de modo que los signos de los términos de voltaje sigan un patrón simple. En una red eléctrica
planar general, se asigna una corriente de malla al perímetro de cada una de las regiones limitadas en las cuales la red divide al plano. También es posible usar otros conjuntos de trayectorias
cerradas , y entonces las corrientes se llaman corrientes de trayectoria cerrada.
EJEMPLO 1. Resuélvase la red de la figura 2 por el método de corriente de rama. Aplicando la ley de Kirchhoff de la corriente (LKC) al nodo a.

Figura 2.
I1 = I2 + I3 (1)
Se escribe Vab para las tres ramas conectadas a a y b (es decir, se apl¡ca esa ley a la trayectoria cerrada, de la izquierda y a los lados externos de las trayectorias), obteniéndose así
20 - I1(5) = I3(10) (2)
20 - I1(5) = I2(2) + 8 (3)
Se resuelven (1), (2) y (3) simultáneamente y se obtiene:
I1 = 2A; I2 = 1A; I3 = 1A
El método de corriente de rama puede ser difícil de aplicar a redes eléctricas extensas, porque no sugiere un punto de arranque en la red ni una progresión lógica a través de las ramas antes que todas las corrientes se hayan obtenido.
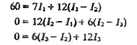
EJEMPLO 2. Resuélvase la red de la figura 3 (la misma de la figura 2 ) por el método de la corriente de malla.

Figura 3
α,
-20 + 5I1 + 10(I1 -I2) = 0
Las corrientes de malla se muestran en el diagrama del circuito. Al aplicar la ley de Kirchhoff del voltaje alrededor de la trayectoria izquiera e iniciando en el punto α,
8 + 10(I2 - I1) + 2I2 = 0
y alrededor de la trayectoria derecha, iniciando en el punto β,
Se ordenan los términos,
15I1 - 10I2 = 20
-10I1 + 12I2 = -8
Se resuelven estas ecuaciones simultáneas y resulta I1 = 2A e I2 = 1A. Si se requiere la corriente en el resistor de 10Ω en dirección hacia abajo, se encuentra como I1 -I2 = 1A ya identificada como I3.

Figura . Verificamos los valores mediante NI Multisim
MATRICES Y CORRIENTES EN MALLA
Las n ecuaciones simultáneas de un circuito con n mallas pueden ser escritas en forma de matriz ( Ver matrices y determinantes).
Ejemplo 3. Cuando se aplica la ley de Kirchhoff del voltaje a la red de tres mallas de la figura 4, se obtienen las siguientes tres ecuaciones.


Colocando las ecuaciones en formar de matriz

Los elementos de las matrices pueden indicarse en forma general así :

Ahora el elemento R11 (fila1, columna 1) es la suma de todas las resistencias a través de las cuales pasa la corriente I1 de malla. En la figura 4, ésta es Ra + Rb. De manera similar, los elementos R22y R32 son las sumas de todas las resistencias a través de las cuales pasan I2 e I3 respectivamente.
El elemento R12 ( fila 1, columna 2) es la suma de todas las resistencias a través de las cuales pasan las corrientes de malla I1 e I2. El signo de R12 es + si las dos corrientes están en la misma dirección a través de cada resistencia, y el signo es + si están en direcciones opuestas. En la figura 4, Rb es la única resistencia común a I1 e I2 y las direcciones de corriente son opuestas en Rb, de modo que el signo es negativo. De modo análogo, los elementos R21, R23, R12 y R31 son las sumas de las resistencias comunes a las dos corrientes de malla indicada por los subíndices, con los signos determinados como se describió antes para R12. Debe observarse que toda i y j, Rij = Rji. Y por eso la matriz de resistencia es simétrica con respecto a su diagonal principal.
La matriz de corriente no requiere explicación, ya que los elementos están en una sola columna con sus subíndices 1,2,3, ... para identificar la corriente con la malla respectiva. Esas son las incognitas en el método de corriente de malla de análisis de redes.
El elemento V1 en la matriz de voltaje es la suma de todas las fuentes de voltaje que impulsan la corriente de malla I1. Un voltaje se toma por positivo en la suma si I1 pasa de la terminal - a la terminal + de la fuente; de lo contrario se considera negativo. En otras palabras, un voltaje es positivo si la fuente impulsa la corriente en dirección de la corriente de malla. En la figura 4, la malla 1 tiene una fuente Va que impulsa en la dirección I1; la malla 2 no tiene fuente; y la malla 3 tiene un voltaje Vb de fuente impulsando en dirección opuesta de I3, lo que hace negativa a V3.
EL MÉTODO DE DETERMINANTES Y LA CORRIENTE EN MALLA
La ecuación de matriz que resulta del método de corriente de malla puede resolverse por varias técnicas. Una de ellas es el método de determinantes (regla de Cramer), que se explicará aquí. Debe decirse, sin embargo, que otras técnicas son mucho más eficientes en caso de redes grandes.
Ejemplo 4. Resuélvase la ecuación de matriz (1) del ejemplo 3 por el método de determinantes.
La corriente incógnita I1 se obtiene como la razón de dos determinantes. El determinante en el denominador tiene los elementos de la matriz de resistencia. Este puede referirse como determinante de los coeficientes y se le da el simbolo ΔR. El determinante en el numerador tiene los mismos elementos que ΔR excepto en la primera columna, donde los elementos de la matriz de voltaje reemplazan a los del determinante de coeficientes. De esta manera

Una expansión de los determinantes del numerador por cofactores de los términos de voltaje produce un conjunto de ecuaciones que ayudan a entender la red, particularmente en términos de sus puntos de impulsión y resistencias de transferencia:

Aquí Δij representa el cofactor de Rij (el elemento en la fila i, columna j ) en ΔR. Debe tenerse cuidado con los signos de los cofactores.

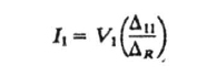
Figura 5. Resistencia de entrada o de punto de impulsión
Muchas veces la resistencia de entrada o de punto de impulsión es importante en circuitos con fuente única. Tal red eléctrica se indica en la figura 5, donde el voltaje de impulsión se ha designado con V1 y la corriente correspondiente con I1. Ya que la fuente única es V1 la ecuación I1 es

La resistencia de entrada es la razón de V1 e I1:

Se deberá verificar que ΔR/Δ11 lleva realmente las unidades Ω.
RESISTENCIA DE TRANSFERENCIA

Figura 6. Resistencia global de transferencia
En una parte de una red eléctrica un voltaje impulsor produce corrientes a todas las ramas de la red. Por ejemplo, un voltaje de fuente aplicado a una red pasiva suministra una corriente de salida en esa parte de la red donde se ha conectado una resistencia de carga. En tal caso la red tiene una resistencia global de transferencia. Considérese la red pasiva sugerida en la figura 6, donde el voltaje de fuente ha sido designado como Vr y la corriente de salida como Is. La ecuación de corriente de malla para Is contiene solamente un término, el que resulta de Vr en el determinante del numerador:

La resistencia de transferencia de la red es la razón de Vr a Is :

Como la matriz de resistencia es simétrica, Δrs = Δsry por eso
Rtransfer rs = R transfer sr
Esto expresa una propiedad importante de las redes lineales: si un voltaje en la malla r da lugar a determinada corriente en la malla s, el mismo voltaje en la malla s produce la misma corriente en la malla r.
Tomemos ahora el caso de la situación más general de una red con n mallas que contiene varias fuentes de voltaje. La solución para la corriente en la malla k puede ser reescrita en términos de las resistencias de entrada y transferencia

Matemáticamente no hay nada nuevo aquí, pero las ecuacIones de corriente ilustran muy claramente el principio de superposición, mostrando cómo las resistencias controlan los efectos que las
fuentes de voltaje tienen en una corriente particular de malla. Una fuente removida lejos de la malla k tendrá alta resistencia de transferencia en esa malla y, por tanto, contribuirá muy poco
a lk. La fuente de voltaje Vk y otras fuentes en mallas adyacentes a la malla k proporcionarán la mayor parte de lk.
MÉTODO SISTEMÁTICO DE MALLAS
Con el objeto de simplificar más aún la resolución de un circuito, la siguiente sistematización permite la elección de tres mallas específicas de las siete posibles del circuito de la figura 7:

Figura 7.
1.1) Elegir las mallas de forma tal que las ramas eliminadas en el proceso de selección de mallas independientes, sean las externas. Esto equivale a visualizar al circuito como un conjunto de agujeros y elegir una malla por agujero.
1.2) Si el circuito es complejo puede haber mallas completamente interiores. En tal caso la visualización de las mallas como agujeros resuelve la dificultad.
1.3) Definir las corrientes ficticias de mallas todas en el mismo sentido.
1.4) Las ecuaciones de malla deberán ser escritas recorriendo la malla en el mismo sentido eligido para las corrientes ficticias.
Habiéndose respetado estas reglas, las ecuaciones de malla pueden ser escritas sistemáticamente de acuerdo con el siguiente criterio:
2.1) Por cada ecuación poner un signo igual
2.2) A la izquierda del signo igual escribir la suma algebraica de todas las fuentes de fem encontradas en la malla en cuestión, cada una con el signo que le corresponda.
2.3) A la derecha del signo igual se desarrolla la siguiente suma: en el primer término se abre paréntesis y se escribe la suma de las resistencias encontradas en la malla en cuestión, multiplicada por la corriente de dicha malla. Los términos restantes, negativos,
se forman por el producto de la resistencia compartida con cada malla adyacente y la corriente ficticia de esa malla adyacente con quien se comparte la rama.
Para ilustrar esta sistematización del cálculo se resolverá el circuito de la figura 7,
1) Las mallas que cumplen con la premisa (1.1) anterior son: ABCEFA, BDCB y CDEC
2) Para cumplir con (1.2) se eliminaron las ramas EFAB, BD y DE
3) Las corrientes ficticias son las mostradas en figura 7. Puede destacarse que toda vez que dos corrientes ficticias comparten una rama, deben hacerlo recorriéndola en sentido contrario una con respecto a la otra.
Por aplicación directa de los lemas de Kirchhoff:

Ordenando y separando variables

La solución de cualquier circuito formado por elementos lineales y bilaterales en su estado de régimen permanente puede ser encarada de la manera expuesta y la representación matricial del sistema de ecuaciones a la que se arriba puede ser escrita según se indica a continuación
[3]
Donde
- ε : vector columna de fuerzas electromotrices (fem's) (suma algebraica de las fem's de la malla)
- R : matriz de resistencias
- I : vector columna de corientes ficticias de mallas o incognitas intermedias
- ε =R . I (Expresión matricial compacta) [4]
Si para resolver un circuito se aplica el método sistemático de las malla, éste puede ser representado matemáticamente por la expresión matricial [4] y considerando a su vez [3] y [2] se puede enunciar lo siguiente:
Cada uno de los elementos "Rii" de la diagonal principal de la matriz "R", denominados resistencias propia de la malla, son la suma de todas las resistencias de la "i-esima" malla y los elementos no diagonales "Rij", denominados resistencias mútuas o de acoplamiento, corresponden, con signo negativo, a las resistencias compartidas entre las mallas "i-esima" y ''j-esima''.
Un aspecto que ayuda en el planteo de las ecuaciones de un circuito, es que la matriz "R" resulta simétrica, esto quiere decir que "R¡j = Rji".
Problemas resueltos de aplicación de conceptos
1- Úsense las corrientes de rama en la red mostrada en la figura P-1 para encontrar la corriente
suministrada por la fuente de 60 V.

Figura P-1.
Las leyes de Kirchhoff del voltaje y la corriente dan :
I2(12) = I3(6) [1]
I2(12) = I4(12) [2]
60 = I1(7)+ I2(12) [3]
I1 = I2 + I3 + I4 [4]
Sustituyendo [1] y [2] en [4]
I1 = I2 + 2I2 + I2 = 4I2 [5]
Ahora [5] se sustituye en [3]
60 = I1(7) + ¼I1(12) = 10I1 ó I1 = 6A
2- Resuélvase el problema 1 por el método de corriente de
malla

Figura P-2
Aplicando la ley de Kirchhoff del voltaje (LKV) a cada malla resulta en

Ordenando los términos y poniendo las ecuaciones en forma de matriz

Usando la regla de Cramer para encontrar I1


Figura . Verificamos los valores mediante NI Multisim
3- En el problema anterior, obténgase Rent.1y úsese para calcular I1

4- Obténgase R transfer.12 y R transfer.13 para la red del problema 2 y con ella calcúlese I2 e I3
El cofactor del elemento 1,2 en Δ
R
debe incluir un signo negativo:

5- A partir de los datos consignados en el circuito de la figura siguiente, calcular las demás corrientes, caidas de tensión en cada rama, potencias disipadas por cada resistencia y potencia suministrada
por la fuente.


PROCEDIMIENTO A SEGUIR:
Ejemplo de procedimiento a seguir para la resolución:
1) En caso de que no estén dados como datos nombrar los nodos y asignar las corrientes
de rama en forma arbitraria.
2) Objetivo: Determinar "Vac"
Recurso:
a) Ley de Ohm ó
b) Ecuación de trayectoria o Segunda Ley de Kirchhoff.

3) Objetivo: Determinar "Vcd", e "i4"
Recurso:
a) Ecuación de trayectoria o segunda ley de Kirchhoff y Ley de Ohm


(Vemos que el sentido de la corriente en PR3 es negativa, lo que significa que el valor real circula en sentido contrario al indicado por la flecha)
4) Objetivo: Determinar "i2"
Recurso:
a) Primera Ley de Kirchhoff


5) Objetivo:
Determinar "Vcb"
Recurso:
a) Ley de Ohm o
b) Ecuación de trayectoria o Segunda Ley de Kirchhoff.

6) Objetivo: Determinar "Vbd"
Recurso:
a) Ecuación de trayectoria o Segunda Ley de Kirchhoff.

7) Objetivo: Determinar "i5"
Recurso:
a) Primera Ley de Kirchhoff

8) Objetivo:
Determinar "i1'' e "i3"
Recurso:
a) Primera Ley de Kirchhoff

9) Objetivo:
Determinar potencia disipada en cada resistencia
Recurso:
a) Primera Ley de Joule

10) Objetivo : Determinar potencia suministrada
Recursos :
a) Expresión de potencia
a) Ps = 150 V x i1 = 900 W

|