INDUCTANCIA, REACTANCIA INDUCTIVA Y CIRCUITOS INDUCTIVOS CIRCUITOS R-L-C SERIE EN CA -
Introducción a la Reactancia Inductiva e Impedancia
En los circuitos de corriente alterna (CA), los componentes eléctricos se comportan de manera diferente que en corriente continua (CC). Uno de los efectos más importantes a considerar en CA es la oposición al paso de la corriente alterna que presentan ciertos elementos, más allá de la simple resistencia. Esta oposición es conocida como reactancia, y uno de sus tipos más comunes es la reactancia inductiva.
La reactancia inductiva (XL) aparece cuando se introduce una bobina o inductor en un circuito de CA. Las bobinas tienen la propiedad de oponerse al cambio de corriente. Esto ocurre porque al circular corriente alterna, que varía continuamente, la bobina genera una tensión en sentido opuesto al cambio de corriente, debido al fenómeno llamado autoinducción. Este efecto no disipa energía como una resistencia, sino que almacena temporalmente energía en forma de campo magnético.
La reactancia inductiva se mide en ohmios (Ω), al igual que la resistencia, y depende de dos factores: la frecuencia de la corriente y la inductancia del inductor. Su fórmula es:

A mayor frecuencia o mayor inductancia, mayor será la oposición al paso de la corriente.
Por otro lado, la impedancia (Z) es un concepto más general que incluye tanto la resistencia como la reactancia. Es la oposición total que presenta un circuito al paso de la corriente alterna. Si el circuito tiene resistencia R y reactancia inductiva XL, la impedancia se calcula mediante:

La impedancia también se mide en ohmios, pero a diferencia de la resistencia, tiene dirección (fase), ya que la corriente no está en fase con la tensión cuando hay reactancia presente.
Comprender estos conceptos es fundamental para analizar y diseñar circuitos de CA, ya que afectan directamente el comportamiento de la corriente, la distribución de voltajes y el consumo de energía. En resumen, la reactancia inductiva mide cómo una bobina se opone al cambio de corriente, y la impedancia es la medida completa de oposición en circuitos alternos.
Reactancia Capacitiva
La reactancia capacitiva (XC) es la oposición que ofrece un condensador al paso de la corriente alterna. A diferencia de una resistencia, un capacitor no disipa energía, sino que almacena y libera carga eléctrica de forma cíclica. Su valor depende de la frecuencia de la señal y la capacitancia del condensador, y se calcula con la fórmula:

Cuanto mayor es la frecuencia o la capacidad del condensador, menor es la reactancia. Esta propiedad es clave en filtros, circuitos de acoplamiento y sistemas de corrección del factor de potencia en corriente alterna.
|
INDUCTANCE, INDUCTIVE REACTANCE AND INDUCTIVE CIRCUITS
SERIES R-L-C CIRCUITS IN AC.
Introduction to Inductive Reactance and Impedance
In alternating current (AC) circuits, electrical components behave differently than in direct current (DC) systems. One of the most important effects to consider in AC is the opposition to current flow exhibited by certain elements, beyond simple resistance. This opposition is known as reactance, and one of its most common types is inductive reactance.
Inductive reactance (XL) appears when a coil or inductor is introduced into an AC circuit. Coils have the property of opposing changes in current. This happens because, as alternating current flows and constantly varies, the coil generates a voltage in the opposite direction to the change in current, due to a phenomenon known as self-induction. Unlike a resistor, this effect does not dissipate energy, but temporarily stores it in the form of a magnetic field.
Inductive reactance is measured in ohms (Ω), just like resistance, and depends on two factors: the frequency of the current and the inductance of the inductor. Its formula is:
XL = 2πfL
The higher the frequency or the inductance, the greater the opposition to the current flow.
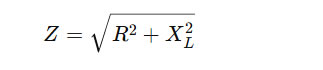
On the other hand, impedance (Z) is a more general concept that includes both resistance and reactance. It is the total opposition that a circuit presents to the flow of alternating current. If the circuit has a resistance R and an inductive reactance XL, the impedance is calculated as:
Z = √(R² + XL²)
Impedance is also measured in ohms, but unlike resistance, it has a direction (phase), since the current is not in phase with the voltage when reactance is present.
Understanding these concepts is essential for analyzing and designing AC circuits, as they directly affect current behavior, voltage distribution, and power consumption. In summary, inductive reactance measures how a coil opposes changes in current, and impedance represents the overall opposition in AC circuits.
Capacitive Reactance
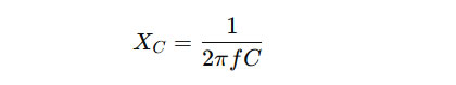
Capacitive reactance (XC) is the opposition that a capacitor offers to the flow of alternating current. Unlike a resistor, a capacitor does not dissipate energy; instead, it stores and releases electrical charge cyclically. Its value depends on the frequency of the signal and the capacitance of the capacitor, and is calculated as:
XC = 1 / (2πfC)
The higher the frequency or the capacitance, the lower the reactance. This property is key in filters, coupling circuits, and power factor correction systems in AC applications.
|
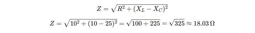
14 - Una autoinducción de reactancia 10 Ω y un condensador de reactancia 25 Ω (medidas a 60 ciclos/seg) se encuentran conectados en serie con una resistencia de 10 Ω a una línea de corriente alterna de 60 ciclos y diferencia de potencial eficaz 100 V.
a) Calcúlese el voltaje entre los bornes de cada parte del circuito.
b) Hállense las expresiones del voltaje y de la intensidad instantáneas en la línea.


a) Voltajes en cada componente del circuito
1. Impedancia total del circuito
Sabemos que en serie:

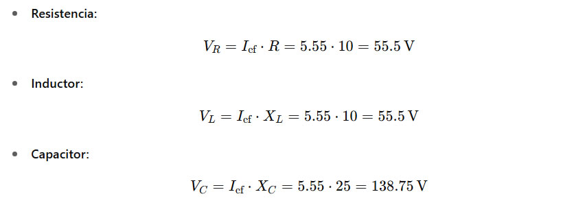
2. Corriente eficaz del circuito

3. Voltajes eficaces en cada parte:

Observación: Aunque la fuente tiene 100 V, en circuitos RLC los voltajes pueden ser mayores que la tensión de la fuente debido al desfase (son fasores, no suman algebraicamente).
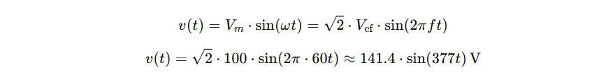
b) Expresiones del voltaje e intensidad instantáneas
Forma general de la tensión

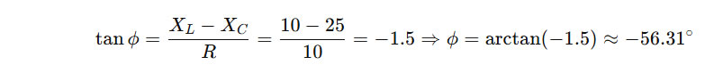
Fase de la corriente
Como XC > XL , el circuito es capacitivo ⇒ la corriente se adelanta respecto de la tensión.
Ángulo de desfase ϕ:

Corriente instantánea

Resumen final:
a) Voltajes eficaces:

b) Expresiones instantáneas:

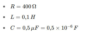
15 - Una resistencia de 400 Ω está en serie con una autoinducción de 0,1 henrio y un condensador de 0,5 µf.
Calcúlese la impedancia del circuito y dibújese el diagrama del vector impedancia:
a) a la frecuencia de 500 ciclos/seg;
b) a la frecuencia de 1000 ciclos/seg.
Hállese, en cada caso, la diferencia de fase entre la intensidad de la corriente y el voltaje en la línea, y dígase si la intensidad de la corriente está retrasada o adelantada.

Datos del circuito:

Formulación general:

a) Frecuencia de 500 Hz
Cálculo de reactancias:

Reactancia neta:

Impedancia total:

Fase:

⇒ Corriente adelantada respecto a la tensión (circuito capacitivo).
b) Frecuencia de 1000 Hz
Reactancias:

Reactancia neta:

Impedancia total:

Fase:

⇒ Corriente también adelantada respecto a la tensión.
Resumen final:

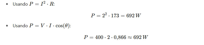
16 - El circuito de corriente alterna siguiente, (Fig. a) tiene una corriente de 2 A que pasa por una R de 173 Ω en serie con una XL de 100 Ω. Encuéntrense el factor de potencia, el voltaje aplicado V, la potencia real P, la potencia reactiva Q y la potencia aparente S.


Paso 1. Obténgase el ángulo de fase θ, cos θ y la impedancia Z por medio del triángulo de impedancias (figura b)

Paso 2: Tensión aplicada

Paso 3: Potencia real P

Paso 4: Potencia reactiva Q y aparente S

17 -
Un circuito de corriente alterna RL paralelo tiene aplicados 100 V pico entre
R = 20 Ω y XL = 20 Ω (ver figura (a) siguiente ).
Encuéntrense IR, IL,
IT y θ.
(Véase la figura (b) siguiente) Dibújense el diagrama de fasores y
diagramas temporales de vT,
iR, iL e
iT.


Datos:
- Tensión pico aplicada: VT = 100 V
- Resistencia: R = 20 Ω
- Reactancia inductiva: XL = 20 Ω
1. Corriente por la resistencia (IR):
La corriente a través de la resistencia está en fase con la tensión:
IR = VT / R = 100 V / 20 Ω = 5 A (pico, ∠ 0°)
2. Corriente por la inductancia (IL):
La corriente en una inductancia ideal se atrasa 90° respecto de la tensión:
IL = VT / XL = 100 V / 20 Ω = 5 A (pico, ∠ -90°)
3. Corriente total (IT):
Como las ramas están en paralelo, sumamos las corrientes como fasores:
IT = IR + IL = 5 ∠ 0° + 5 ∠ -90°
Expresado en forma rectangular: IT = 5 - j5
Módulo: |IT| = √(5² + 5²) = √50 ≈ 7.07 A (pico)
Ángulo de fase: θ = arctan(-5 / 5) = -45°
4. Impedancia total del circuito (ZT):
Calculamos la impedancia equivalente de las ramas en paralelo:
ZR = 20 Ω ; ZL = j20 Ω
1 / ZT = 1 / 20 + 1 / j20 = 0.05 - j0.05 S
ZT = 1 / (0.05 - j0.05) = (0.05 + j0.05) / (0.05² + 0.05²) = (0.05 + j0.05) / 0.005 = 10 + j10 Ω
En forma polar: |ZT| = √(10² + 10²) = √200 ≈ 14.14 Ω, ∠ = 45°

Resumen final:
- IR = 5 A pico (∠ 0°)
- IL = 5 A pico (∠ -90°)
- IT = 7.07 A pico (∠ -45°)
- ZT = 14.14 Ω (∠ 45°)
18 - Ejercicio resuelto: Circuito R - L en serie
a) Enunciado:
Una resistencia pura y una autoinducción pura están en serie y conectadas a una línea de corriente alterna de 100 V. Un voltímetro para corriente alterna da la misma lectura cuando se conecta en paralelo a la resistencia y a la autoinducción.
¿Cuánto señala?
Solución:
Como el voltímetro mide lo mismo en ambos elementos, entonces:
La tensión total es:
VT² = VR² + VL² = 2VR²
Entonces:
VR = VL = V = VT / √2 = 100 V / 1.414 ≈ 70.7 V
b) Enunciado:
Los valores de la resistencia y de la autoinducción de la parte a) se modifican de modo que un voltímetro colocado en paralelo con la autoinducción señale 50 V.
¿Cuál será la indicación del voltímetro cuando se conecte en paralelo con la resistencia?
Solución:
Dado: VL = 50 V, VT = 100 V
Aplicamos el teorema de Pitágoras:
VR² = VT² - VL² = 100² - 50² = 10,000 - 2,500 = 7,500
VR = √7,500 ≈ 86.6 V
Resultados:
- a) Lectura del voltímetro: 70.7 V
- b) Lectura del voltímetro en la resistencia: 86.6 V
19 - El voltaje eficaz entre los bornes de un generador de corriente alterna es 100 V y la llamada frecuencia angular ω = 2πf es 500 rad/seg.
Entre los bornes del generador hay conectados en serie una resistencia de 3 Ω, un condensador de 50 µf y una autoinducción que puede variarse de 10 a 80 milihenrios.
El voltaje máximo (Vmáx) entre las armaduras del condensador no debe exceder de 1200 V.
a) ¿Cuál es la máxima intensidad de corriente eficaz admisible en el circuito en serie?
b) ¿Hasta qué valor puede aumentarse la autoinducción sin sobrepasar el límite de seguridad?
Ejercicio resuelto: Circuito RLC serie con límite de tensión en el capacitor
Datos:
- Voltaje eficaz del generador: V = 100 V
- Frecuencia angular: ω = 2πf = 500 rad/s
- Resistencia: R = 3 Ω
- Capacitancia: C = 50 µF = 50 × 10-6 F
- Inductancia variable: L de 10 a 80 mH = 0.01 a 0.08 H
- Voltaje máximo permitido en el capacitor: Vc(máx) = 1200 V
a) ¿Cuál es la máxima intensidad de corriente eficaz admisible en el circuito en serie?
Sabemos que en un circuito RLC serie:
VC(máx) = Ief × XC
Donde:
- XC = 1 / (ωC) = 1 / (500 × 50 × 10-6) = 1 / 0.025 = 40 Ω
Entonces, la corriente máxima permitida es:
Ief(máx) = VC(máx) / XC = 1200 / 40 = 30 A
b) ¿Hasta qué valor puede aumentarse la autoinducción sin sobrepasar el límite de seguridad?
Condición: corriente eficaz máxima permitida: I = 30 A
La tensión total eficaz en el circuito es 100 V, entonces usamos la impedancia total:
Z = V / I = 100 / 30 = 3.33 Ω
Impedancia en circuito RLC serie:
Z = √(R² + (XL - XC)²)
Ya tenemos:
- R = 3 Ω
- XC = 40 Ω
- Z = 3.33 Ω
Entonces:
Z² = R² + (XL - XC)² → (XL - 40)² = Z² - R²
(3.33)² - 3² = 11.09 - 9 = 2.09
XL - 40 = ±√2.09 ≈ ±1.446
XL = 40 ± 1.446
Dado que se busca el valor máximo de L (sin exceder 1200 V en el capacitor), usamos:
XL = 41.45 Ω
Entonces:
L = XL / ω = 41.45 / 500 = 0.0829 H = 82.9 mH
Resultados finales:
- a) Corriente eficaz máxima admisible: 30 A
- b) Valor máximo admisible de la inductancia: 82.9 mH
20 - Una bobina de resistencia 10 Ω y cuya autoinducción es 15 milihenrios se halla en serie con una resistencia de 12 Ω y un condensador de 200 µf de capacidad, y el conjunto conectado a una línea de corriente alterna de 100 V y 60 ciclos.
Calcúlese el voltaje entre los terminales de la bobina.
Ejercicio resuelto: Voltaje en la bobina de un circuito RLC serie
Enunciado:
Una bobina de resistencia 10 Ω y autoinducción 15 mH está en serie con una resistencia de 12 Ω y un condensador de 200 µF. El conjunto se conecta a una línea de corriente alterna de 100 V y 60 Hz.
Se pide: Calcular el voltaje entre los terminales de la bobina.
Datos:
- Rb = 10 Ω (resistencia de la bobina)
- L = 15 mH = 0.015 H
- R = 12 Ω (resistencia adicional)
- C = 200 µF = 200 × 10-6 F
- Vtotal = 100 V (rms)
- f = 60 Hz
1. Cálculo de la reactancia inductiva XL:
XL = 2πfL = 2 × 3.1416 × 60 × 0.015 ≈ 5.65 Ω
2. Cálculo de la reactancia capacitiva XC:
XC = 1 / (2πfC) = 1 / (2 × 3.1416 × 60 × 200 × 10-6) ≈ 13.26 Ω
3. Impedancia total Z:
- Rtotal = R + Rb = 12 + 10 = 22 Ω
- Xtotal = XL - XC = 5.65 - 13.26 = -7.61 Ω
Z = √(R2 + X2) = √(22² + (-7.61)²) ≈ √(484 + 57.91) ≈ √541.91 ≈ 23.28 Ω
4. Corriente eficaz en el circuito:
I = V / Z = 100 / 23.28 ≈ 4.29 A
5. Voltaje en la bobina:
La bobina tiene dos componentes: una resistencia de 10 Ω y una reactancia de 5.65 Ω.
- VRb = I × Rb = 4.29 × 10 = 42.9 V
- VL = I × XL = 4.29 × 5.65 ≈ 24.23 V
Voltaje total en la bobina (por Pitágoras, ya que R y XL están en cuadratura):
Vbobina = √(42.9² + 24.23²) ≈ √(1840.41 + 587.11) ≈ √2427.52 ≈ 49.27 V
Resultado final:
El voltaje entre los terminales de la bobina es aproximadamente: 49.3 V (rms)
21 - Los puntos a y b de la figura siguiente, son los terminales de una línea de corriente alterna de 60 ciclos.
El voltaje eficaz entre a y b es 130 V.
Si R₁ = 6 Ω, R₂ = R₃ = 3 Ω, X_C = 3 Ω, X_L = 8 Ω, calcúlese:
a) la intensidad de la corriente en el circuito;
b) el voltaje entre a y c;
c) el voltaje entre c y d.

Ejercicio resuelto: Circuito R-L-C con resistencia adicional en serie
Enunciado:
Los puntos a y b de la figura del problema 20, son los terminales de una línea de corriente alterna de 60 Hz.
El voltaje eficaz entre a y b es 130 V.
Se tienen los siguientes valores: R1 = 6 Ω, R2 = 3 Ω, R3 = 3 Ω,
XL = 8 Ω, XC = 3 Ω
Se pide calcular:
- La intensidad de la corriente en el circuito
- El voltaje entre a y c
- El voltaje entre c y d
1. Análisis del circuito:
Todo el circuito entre los puntos a y b está conectado en serie, por lo tanto:
- Impedancia inductiva: XL = 8 Ω
- Resistencia R1 = 6 Ω
- Capacitor: XC = 3 Ω
- Resistencia R2 = 3 Ω
- Resistencia R3 = 3 Ω
El circuito completo consta entonces de: XL, R1, XC, R2 y R3 todos en serie.
2. Impedancia total del circuito:
- Resistencia total: RT = R1 + R2 + R3 = 6 + 3 + 3 = 12 Ω
- Reactancia total: XT = XL - XC = 8 - 3 = 5 Ω
Z = √(R2 + X2) = √(12² + 5²) = √(144 + 25) = √169 = 13 Ω
3. Corriente en el circuito:
I = V / Z = 130 V / 13 Ω = 10 A (eficaz)
4. Voltaje entre a y c (Vac):
Este tramo incluye XL y R1 en serie:
- VXL = I × XL = 10 × 8 = 80 V
- VR1 = I × R1 = 10 × 6 = 60 V
Como están en cuadratura (90°), usamos Pitágoras:
Vac = √(80² + 60²) = √(6400 + 3600) = √10000 = 100 V
5. Voltaje entre c y d (Vcd):
Este tramo incluye el capacitor (XC) y R2, en serie:
- VXC = I × XC = 10 × 3 = 30 V
- VR2 = I × R2 = 10 × 3 = 30 V
Nuevamente, están en cuadratura (capacitor 90° desfasado de resistencia):
Vcd = √(30² + 30²) = √(900 + 900) = √1800 ≈ 42.4 V
Resultados finales:
- a) Intensidad de corriente eficaz: 10 A
- b) Voltaje entre a y c: 100 V
- c) Voltaje entre c y d: 42.4 V
|