|
Aplicación de la fórmula de Newton para el cálculo de la potencia enésima de un binomio diferencia. Número e base de los logaritmos naturales
Para el cálculo de (x - a)n se aplica la regla de Newton, pero teniendo en cuenta que el segundo término es negativo y que en consecuencia resultarán también negativos todos los términos del desarrollo donde él figura elevado a un exponente impar, por lo tanto, los términos de este desarrollo resultan alternadamente positivos y negativos.
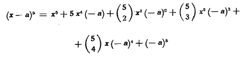
EJEMPLO 1º:
Sea calcular: (x - a)5
Aplicando la regla de Newton, se tiene:

Reemplazando los coeficientes por sus valores y calculando el signo de las potencias indicadas de (-a), resulta:

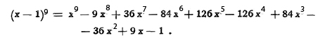
EJEMPLO 2º :
Calcular (x - 1)9 .
Aplicando la regla de Newton, se tiene:

Los coeficientes son:

y los otros resultan respectivamente iguales.
Luego, reemplazando estos coeficientes y calculando los signos de las potencias indicadas, resulta:

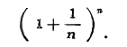
El número e.
Si en la expresión (x +a)nse hace x = 1 y a= 1/n , se transforma en

Si se aplica la fórmula de Newton con los coeficientes desarrollados,
se tiene:

Teniendo en cuenta que todas las potencias de 1 son iguales a
1 y calculando las potencias indicadas de 1/n, puede escribirse:


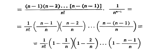
Simplificando por n en cada término, se tiene:

Transformando convenientemente cada uno de estos términos, se tiene:

el quinto término

el penúltimo término

el último término

Reemplazando en [1]


Cuando el número n aumenta, las fracciones que figuran como sustraendo en los paréntesis del desarrollo anterior, es decir:

se hacen cada vez más pequeñas, de modo tal que cuando n se hace infinitamente grande, dichas fracciones se hacen tan pequeñas que pueden considerarse igualadas a cero; en consecuencia los factores

del desarrollo iguales a 1.
Por lo tanto la expresión anterior en este caso se transforma en:

donde se escriben los puntos suspensivos. pues al hacerse n infinitamente
grande, el número de términos se hace también infinito.
Esta expresión es mayor que 2 , desde el momento que los dos primeros términos son iguales a 1; y se demuestra en cursos superiores,
que no alcanza al valor 3, es decir, define un número comprendido entre 2 y 3, que es el número e base de los logaritmos
naturales y cuyas primeras cifras, según ya se sabe, son:
e = 2,71828182845 ...

donde el segundo término 1, se acostumbra a escribirlo 1/1!, para
uniformar la escritura.
Así:
Si en el desarrollo se consideran 5 términos:

vale decir, se obtiene un valor aproximado del número e donde figuran exactamente hasta la cifra de los décimos.
Si en el desarrollo se consideran 6 términos:

vale decir, se obtiene un valor aproximado del número e donde figuran exactamente hasta la cifra de los centésimos.
Si en el desarrollo se consideran 7 términos:

vale decir, se obtiene un valor del número e donde figuran exactamente hasta la cifra de los milésimos, y así siguiendo cada vez que se consideren más términos, se obtienen valores más aproximados del número e.
|