|
Extensión de la fórmula de Newton para el caso en que el binomio es de la forma (1 +x) y el exponente es entero y negativo o fraccionario.
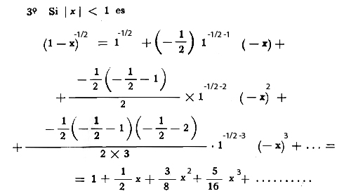
Se demuestra que para el desarrollo de (1 +x) elevado a un exponente entero y negativo o elevado a un exponente fraccionario, es válida la fórmula de Newton estudiada para el caso de exponente natural, siempre que se verifique que |x| < 1.
Así por ejemplo:

donde se ve que el desarrollo tiene infinitos términos, pues los números enteros decrecientes a partir de (-2) son infinitos.
Suprimiendo las potencias de 1, en el desarrollo anterior resulta:


La generalización de la fórmula de Newton que se acaba de
estudiar puede aplicarse para el cálculo del monto de $1 colocado a interés compuesto, pues dicho monto se obtiene mediante la aplicación
de la fórmula (1 + i)n donde i es el tanto por 1 y n es el número de períodos de capitalización.
Como i, o sea el tanto por 1, es siempre un número menor que la unidad, generalmente del orden de los centésimos y a veces del orden de los décimos, puede aplicarse la fórmula de Newton para el cálculo de la potencia, cualquiera sea el valor del exponente n.
EJEMPLO:
Calcular el monto de $1 colocado a interés compuesto al 8 % durante 2 años 3 meses, capitalizando anualmente.
Si el tanto por ciento es 8, el tanto por uno, i, es la centésima parte o sea 0,08. Como el período de capitalización es anual, el tiempo que es de 2 años y 3 meses equivale a:

de año, o sea el número n de perlados de capitalización es 9/4
Luego, reemplazando en la fórmula (1 + i)n, se tiene:

Aplicando la fórmula de Newton es:

o sea, efectuando operacíones:

Un valor aproximado se obtiene considerando hasta el tercer término de la suma. Luego:

EJERCICIOS DE APLICACIÓN
Calcular los siguientes productos de binomios:


Aplicar la fórmula de Newton para el desarrollo de las siguiemes potencias
de binomio:


|