|
El binomio de Newton es una fórmula matemática que permite desarrollar potencias de expresiones del tipo (a+b)n, donde a y b son números (o variables), y n es un número natural (entero positivo).

Aplicaciones del Binomio de Newton
1. Álgebra y cálculo
* Desarrollo de expresiones algebraicas.
* Simplificación de potencias con sumas.
* Cálculo de derivadas y límites usando aproximaciones polinomiales (ej. expansión de Taylor).
2. Probabilidades y estadísticas**
3. Física y matemáticas aplicadas**
* En "desarrollos de series" para resolver ecuaciones diferenciales.
* Aprox. de funciones para pequeñas perturbaciones.
4. Programación y algoritmos
* En algoritmos de combinatoria y generación de combinaciones.
5. Geometría y diseño
* Cálculo de términos intermedios en curvas de Bézier (en gráficos por computadora), ya que se basan en combinaciones similares.
Producto de factores binomiales que tienen un término común.
Sea, por ejemplo, tener que multiplicar m factores binomiales tales que en todos ellos figure el término x.
Se considera primero el cálculo del producto de 2 factores binomiales
de ese tipo; sean éstos: (x +a) y (x +b).
Luego su producto se indica:
(x + a) (x + b)
y para calcularlo, de acuerdo con la regla para multiplicar una suma por otra, es preciso sumar todos los términos que se obtienen al multiplicar cada término del primer binomio por cada término del segundo.
Es decir:
(x + a) (x + b) = x2+ ax + xb + ab
Sacando el factor común x en el segundo y tercer términos del segundo miembro, resulta:
(x + a) (x + b) = x2 + x(a + b) + ab [1]
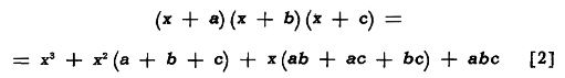
Si se consideran 3 factores binomiales, es decir los dos anteriores y un nuevo factor (x + c), el producto de ellos se indica:

y efectuando el producto de la suma encerrada en el corchete por el binomio (x + c), se tiene:
(x + a) (x + b) (x + c) =
x3 + x2(a + b) + ab x + x2c + x (a + b) c + abc
Si en el segundo miembro se saca el factor común x2 entre el 2º y el 4º términos y el factor común x entre el 3º y el 5º términos, se tiene:

Pero el producto indicado en el corchete:
(a + b) c es igual a ac + bc
Luego, reemplazando, resulta:

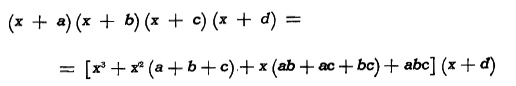
Si se consideran 4 factores binomiales, es decir los tres anteriores y un nuevo factor (x + d) el producto de ellos se indica:
(x + a) (x + b) (x + c) (x + d)
y reemplazando el producto de los tres primeros por su igual, según relación [2] , puede escribirse:

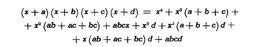
Efectuando el producto de la suma encerrada en el corchete por el binomio (x + d), se tiene:

Si en el segundo miembro se saca el factor común x3 entre el 2º y el 5º términos; el factor común x2 entre el 3º y el 6º términos y el factor común x entre el 4º y el 7º términos, resulta:

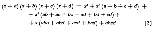
Pero el producto indicado en el 1er. corchete:
(a + b + c)d es igual a ad+bd+cd
y el producto indicado en el 2º corchete:
(ab + ac +bc) d es igual a abd + acd + bcd
Reemplazando en el segundo miembro, resulta:

Observando las igualdades [1], [2] y [3] se deduce que:
1º El producto de 2 factores binomiales con el término común x es igual a un trinomio de 2º grado en x, que ordenado según las potencias decrecientes de x , es tal que el coeficiente del primer término es 1 ; el coeficiente del segundo término es la suma de los dos términos no comunes y el tercer término es el producto de esos dos términos no comunes.
2º El producto de 3 factores binomiales con el término común x es igual a un cuatrimonio de 3er. grado en x, que ordenado según las potencias decrecientes de x es tal que el coeficiente del primer término es 1 ; el coeficiente del segundo término es la suma de los tres términos no comunes; el coeficiente del tercer término es la suma de los productos de los tres términos no comunes tomados de 2 en 2 y el cuarto término es el producto de los tres términos no comunes.
3º El producto de 4 factores binomiales con el término común x, es igual a un polinomio de cinco términos, de 4º grado en x, que ordenado, según las potencias decrecientes de esa letra es tal que el coeficiente del primer término es 1 ; el coeficiente del segundo término es la suma de los cuatro términos no comunes, el coeficiente del tercer término es la suma de los productos de los cuatro términos no comunes tomados de 2 en 2 ; el coeficiente del cuarto término es la suma de los productos de los cuatro términos no comunes tomados de 3 en 3 y el quinto término es el producto de los cuatro términos no comunes.
Estas observaciones pueden generalizarse y resulta así que:
El producto de n factores binomiales con el término común x es igual a un polinomio de (n +1) términos, de grado n en x, que ordenado según las potencias decrecientes de x es tal que el coeficiente
del primer término, o sea el coeficiente de xn, es 1 ; el coeficiente del segundo término o sea el coeficiente de xn-1 , es la suma de los n términos no comunes; el coeficiente del tercer término o sea el coeficiente de xn-2 es la suma de los productos que se obtienen tomando los n términos no comunes, de 2 en 2; el coeficiente del cuarto término o sea el coeficiente de xn-3 es la suma de los productos que se obtienen tomando los n términos no comunes de 3 en 3 , y así siguiendo, el coeficiente del penúltimo término o sea el coeficiente de x es la suma de los productos que se obtienen tomando los n términos no comunes de (n -1) en (n -1) y el último término o sea el término independiente es el producto de los n términos no comunes.


EJEMPLO 1º:
Calcular el siguiente producto:
(x + k) (x + m) (x +v) (x +y) (x+ z)
De acuerdo con la regla enunciada, por tratarse en este caso del producto de 5 factores el resultado es un polinomio de 5º grado en x, cuyos coeficientes se detallan a continuación:
el coeficiente de x5 es: 1.
el coeficiente de x4 es: k + m + v + y + z;
el coeficiente de x3 es: km + kv + ky + kz + mv + my+ mz + vy + vz + yz .
o sea, los 10 términos que resultan al considerar los productos binatios
de los 5 términos no comunes.
El coeficiente de x2: kmv + kmy + kmz + kvy + kvz +
kyz + mvy + mvz + myz + vyz
o sea, los 10 términos que resultan al considerar los productos ternarios
de los 5 términos no comunes;
el coeficiente de x es: kmvy + kmvz + kmyz +kvyz + mvyz
o sea los 5 términos que resultan al considerar los productos cuaternarios
de los 5 términos no comunes.
El término independiente es: kmvyz, es decir el producto de los 5 términos no comunes.
Luego :
(x + k) (x+ m) (x+ v) (x+y) (x+ z) = x5+ x4 (k + m + v + y + z) + x3 (km + kv+ ky + kz+ mv +my+ mz + vy + vz + yz) + x2 (kmv + kmy + kmz + kvy + kvz + kyz +
mvy + mvz + myz+ vyz) + x (kmvy + kmvz + kmyz + kvyz + mvyz) + kmvyz
EJEMPLO 2º :
Calcular el siguiente producto:
(x - 5)(x - 1)(x + 3)
De acuerdo con la regla anterior, se tiene:
(x-5)(x-1)(x +3)=x3 + x2(-5-1+3)+x[(--5)(--1)+(-5)3+(-1)3] +(-5)(-1) 3 = x3 - x2 3 +x(5 - 15 - 3) + 15 = x3 - 3x2 - 13x + 15
Formula de Newton para la potencia de un binomio.
El binomio de Newton es una fórmula matemática que se utiliza para expandir la potencia de un binomio (una expresión algebraica con dos términos) elevado a un exponente natural. También se le conoce como el teorema del binomio.
La fórmula del binomio de Newton es la siguiente:
(a + b)^n = C(n,0) * a^n * b^0 + C(n,1) * a^(n-1) * b^1 + C(n,2) * a^(n-2) * b^2 + ... + C(n,n) * a^0 * b^n
Donde:
- (a + b)^n representa la potencia del binomio (a + b) elevado al exponente n.
- C(n,k) representa los coeficientes binomiales, que son los coeficientes que se obtienen al combinar los términos del binomio. Se calculan mediante la fórmula C(n,k) = n! / (k! * (n-k)!), donde n! es el factorial de n.
El binomio de Newton tiene diversas aplicaciones en matemáticas y ciencias, tales como:
-
Expansión de polinomios: Permite expandir y simplificar expresiones algebraicas que involucran binomios elevados a una potencia, lo que facilita el cálculo y manipulación de polinomios.
-
Cálculo de coeficientes: Permite determinar los coeficientes individuales de los términos en la expansión, lo que es útil en situaciones donde se necesitan valores específicos para realizar cálculos o análisis posteriores.
-
Probabilidad y estadística: El binomio de Newton se utiliza en la distribución binomial, que es una distribución de probabilidad que modela situaciones de éxito-fracaso o de eventos con dos posibles resultados. Permite calcular la probabilidad de obtener un número específico de éxitos en un número determinado de ensayos.
En resumen, el binomio de Newton es una herramienta matemática fundamental para expandir y calcular potencias de binomios, y tiene diversas aplicaciones en diferentes ramas de las matemáticas y ciencias, incluyendo el cálculo, la probabilidad y la estadística. |
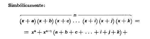
Sea, por ejemplo, calcular la potencia enesima del binomio (x +a), es decir: (x +a)n.
De acuerdo con la definicion de potencia enésima (x +a)n es igual al producto de n factores iguales a (x + a), es decir:

EI segundo miembro es el producto de n factores binomiales con el termino común x; luego, se puede desarrollar según el polinomio de grado n que se obtiene de acuerdo con la regla estudiada en el parágrafo anterior; pero teniendo en cuenta que ahora se trata del caso particular en que los términos a, b,c … i, j, k que alla figuraban son en estos binomios, todos iguales a a.

A continuación, se calcula cada uno de los coeficientes de las x ,
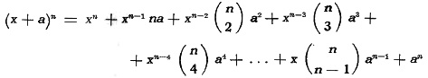
El coeficiente de xn-1 es decir (a + a + ... + a) se obtiene sumando
los n terminos iguales a a. Luego es:
(a + a + ... + a) = na
En el coeficiente de xn-2 es decir (aa + aa + ... + aa) cada termino es a2 y el numero de esos terminos es el numero de combinaciones de los n elementos a tornados de 2 en 2, es decir se tienen

términos iguales a a2 , o sea:

En el coeficiente de xn-3 es decir (aaa + aaa + ... + aaa) cada termino es a3 y el numero de esos terminos es el número de combinaciones de los n elementos a tomados de 3 en 3 , es decir

términos iguales a a3 , o sea:

En el coeficiente de xn-4 es decir (aaaa + aaaa + ... + aaaa) cada termino es a4 y el numero de esos terminos es el número de combinaciones de los n elementos a tomados de 4 en 4 , es decir

términos iguales a a4 , o sea:

y asi siguiendo
En el coeficiente de x, es decir

cada termino es an-1 y el número de esos terminos es el número de combinaciones de los n elementos a tornados de n -1 en n - 1, es decir

Luego, reemplazando en [1] los coeficientes por los valores calculados,
se tiene:

expresión que se acostumbra a ordenar escribiendo el numero combinatorio de cada termino como primer factor, es decir:

que es la expresión simbólica de la llamada regla de Newton para calcular la potencia enésima de un binomio,
Propiedades.
1º En el termino en que x figura a la potencia (n -1), a figura a la potencia 1; en el termino en que x figura a la potencia (n-2), a figura a la potencia 2 ; si x figura a la primera potencia, a figura a la potencia n -1, es decir que en cada uno de los terminos
la suma del exponente de x y del exponente de a es igual a n, o sea el polinomio es homogeneo de grado n .
2º En el termino en que a figura elevado al exponente 2 , el coeficiente es el numero combinatorio

; en el termino en que a figura elevado al exponente 3, el coeficiente es el número combinatorio

, es decir que en general, el coeficiente de cada término
es el número combinatorio de n elementos tomados en grupos de elementos iguales al exponente de a .
3º De las dos observaciones anteriores y teniendo en cuenta que en el primer término, x figura a la potencia n; en el segundo, a la potencia n -1 , en el tercero a la potencia n -2 , resulta que el término que en el desarrollo ocupa el lugar k + 1 y que se indica T k+1 , es de la forma:

Así el 4º término del desarrollo de (x +a)7 , es:

4º Recordando que los números combinatorios complementarios son iguales, es decir:

resulta que en el desarrollo los coeficientes de los términos equidistantes de los extremos son iguales.
En efecto: el coeficiente del 1º y del último términos es 1 ; el del 2º término es n y el del penúltimo término es:

el del tercer término es y el del antepenúltimo 
que es igual a por ser su complementario. Esta propiedad es
muy importante, pues basta calcular la mitad de los coeficientes del desarrollo si el número de términos del desarrollo es par y la mitad más 1 , si el número de términos es impar. Así si el desarrollo tiene 6 términos se calculan los coeficientes de los tres primeros términos; el coeficiente del 4º es igual al del 3º; el del 5º igual al del 2º y el del 6º al del primero.
5º Si en la expresión simbólica [2] se desarrollan los números combinatorios, coeficientes de los términos según sus valores, que son respectivamente:

que es otra forma de expresar la potencia enésima de un binomio. En el desarrollo anterior se observa que: si al coeficiente del tercer término que es

se lo multiplica por (n -2), que es el exponente de x en dicho término, y se lo divide por 3, que es el exponente de a en el término siguiente, se obtiene:

que es el coeficiente del cuarto término. Esta observación es general y resulta que calculado el coeficiente de un término para obtener el coeficiente del término siguiente basta multiplicarlo por el exponente de x en dicho término y dividirlo por el exponente de a en el término
siguiente.
A continuación se desarrollan las primeras potencias de (x +a) aplicando la regla de Newton y teniendo en cuenta la propiedad que establece la igualdad de los coeficientes de los términos equidistantes de los extremos. Conviene observar que el cuadrado y el cubo coinciden con las expresiones del cuadrado y cubo de un binomio ya conocidas:

donde el coeficiente 10 del tercer término se calculó como resultado de:

Temas relacionados :
|