Movimiento circular uniforme. Velocidad lineal o tangencial. Velocidad angular. Fuerza centrífuga. Fuerza centrípeta. Aceleración. Problemas de ejemplo. Leyes de Kepler.
MOVIMIENTO CIRCULAR UNIFORME. FUERZA CENTRÍFUGA
MOVIMIENTO CIRCULAR UNIFORME
Movimiento circular uniforme. — Un móvil, que se mueve siempre en el mismo sentido, está animado de un movimiento circular uniforme cuando su trayectoria es una circunferencia, y cuando los arcos recorridos son proporcionales a los tiempos empleados en recorrerlos.
Velocidad lineal. — La velocidad lineal o
tangencial del móvil M en el instante t, está representada por un vector MV
(fig. 1), cuya dirección es tangente a la circunferencia trayectoria en el punto M; el sentido es el del movimiento y su magnitud es
constante.

Fig. 1 - Velocidad lineal y angular
Si el móvil recorre la circunferencia de
radio R en un tiempo T, la velocidad lineal v será:

Velocidad angular. — Exprésase generalmente la velocidad de un movimiento circular por la velocidad angular (v).
Llámase velocidad angular la velocidad de un móvil sobre una
circunferencia de radio igual a la unidad y concéntrica con la trayectoria.
Dicho móvil ficticio, m, sigue los movimientos del móvil M y se
encuentra constantemente sobre el radio CM.
Sea v la velocidad angular, cuyo vector es mV'; como el radio R es igual a 1, tenemos:

Sustituyendo


Así, pues, la velocidad angular es igual al cociente de
la velocidad lineal por el radio de la circunferencia trayectoria.

Fig. 2 - Fuerza centrífuga
FUERZA CENTRÍFUGA.
ACELERACIÓN CENTRÍPETA
Temas relacionados :
Fuerza centrífuga. — La fuerza centrífuga es la
reacción que opone un cuerpo
a las fuerzas que tienden a
darle un movimiento curvilíneo. Ella es la que desprende el
barro de las ruedas de los
coches cuando giran con velocidad.
Si se hace girar una piedra m, con una honda (fig. 2), la fuerza centrífuga tiende la cuerda y ejerce una tracción sobre la mano. Si se suelta
una de las dos cuerdas de la honda, la piedra seguirá la dirección mn o sea
de la tangente al arco recorrido.
Leyes. — Las leyes se deducen de la fórmula siguiente:

1º La fuerza centrífuga es proporcional a la masa M del cuerpo;
2º es proporcional al cuadrado de la velocidad v;
3º es inversamente proporcional al radio descrito r.

Fig. 3 - Dispositivo centrifugador mecánico experimental
Comprobación experimental. Los experimentos se hacen con un aparato centrifugador (fig. 3) que se compone de una
gran rueda o volante G, provista de un manubrio M, que por medio de una
correa sin fin c, comunica un movimiento rápido de rotación a otra rueda menor g, provista de un eje vertical v. Dicho eje vertical
soporta y hace girar horizontalmente el artefacto a b que recibe
las piezas que han de girar.
1º Por medio de una cadenilla se enlazan dos esferas agujereadas
de masas desiguales y se las coloca con la cadena tendida a igual
distancia del eje de rotación v, como lo indica la figura 3.
Resultado: Después de la rotación la mayor habrá arrastrado a
la menor y ambas estarán apretadas contra la extremidad a.
- Conclusión, la fuerza centrífuga es proporcional a la masa M.
2° Se enlazan masas iguales y se las coloca de cada lado del eje
de rotación pero a desigual distancia del mismo.
Resultado: Después del movimiento la esfera que tuvo mayor
velocidad o sea la que describió el círculo mayor, habrá arrastrado a la otra hacia sí.
- Conclusión, la fuerza centrífuga es proporcional a la velocidad v.

Fig. 4 - Dispositivo centrifugador experimental para determinar que la fuerza centrífuga es proporcional al radio descrito.
3º Se reemplaza el sistema ab por el disco A (fig. 4), que por
medio de una correa hace girar el disco menor B, siendo los diámetros en la relación de 2 a 1. Se colocan 4 masas iguales en concavidades fresadas en las superficies de los discos a igual distancia
de los dos bordes. Este arreglo permite que al girar el sistema, las
4 masas tengan la misma velocidad, ya que B da dos vueltas por
una de A.
Resultado: La fuerza centrífuga proyecta las masas al suelo, empezando por
las del disco B de radio menor.
- Conclusión, con igual velocidad, la fuerza centrífuga es inversamente proporcional
al radio descrito r.
4º Se reemplaza el eje vertical v por el de la figura 3-R, que soporta
un sistema de aros flexibles fijos por abajo, pero que pasan libremente
por la parte superior del eje y se hace girar rápidamente.
Resultado: Los aros se aplastan dejando libre la parte superior de la
varilla y, por la gran velocidad dan la impresión de una esfera achatada, explicando así el porqué de la depresión de la tierra en los polos; depresión que se verificó por la acción de la fuerza centrífuga, antes de la
solidificación de la misma.
Aplicaciones. — Se emplea la fuerza centrífuga:
1º Para secar la ropa, extraer la miel de los panales, etc.
2º Para regularizar la velocidad de las máquinas (por ej. regulador de bolas
de la máquina de vapor ).
3º En las bombas centrífugas: en el cuerpo de bomba circular que está en el agua giran con gran velocidad unas paletas, produciendo el escape tangencial del agua por un tubo de elevación.
4º En ciertos ventiladores.
5º En las curvas la vía férrea tiene el riel exterior más elevado, para que
la fuerza centrífuga no haga descarrilar el tren. El automóvil de carreras que describe una curva
muy pronunciada se inclina hacia el interior para resistir la fuerza centrífuga que
lo empuja hacia el exterior, lo mismo sucede con el biciclicista.
6º En los separadores centrífugos del instrumental de laboratorio, donde se utiliza la fuerza centrífuga y se emplean para separar suspensiones que consisten de dos o más fases de distinta densidad; por ejemplo, pueden separar líquido-líquido, líquido-líquido-sólido o líquido-sólido. También son eficaces para separar mezclas líquidas a la vez que retiran los sólidos. |
| |
Fuerza centrípeta; aceleración centrípeta. — La fuerza centrípeta es una fuerza contraria e igual a la fuerza centrífuga: mientras la centrífuga proyecta el móvil en dirección tangente al arco descrito, la
centrípeta lo mantiene constantemente sobre la circunferencia.
Sea una circunferencia de centro O
y de diámetro MN, recorrida por un
móvil M (fig. 5) con velocidad tangencial v. Supongamos ahora que dicho móvil,
en un tiempo brevísimo, t, recorre el
arco MP (muy corto también).

Fig. 5 - Aceleración centrípeta
Por ser muy pequeño el arco, prácticamente se confunde con su cuerda,
y se tiene:
Arco MP = cuerda MP
Y como el arco = v.t, también la cuerda tiene este valor.
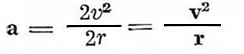
Ahora bien, si se descompone el vector MP en sus dos componentes rectangulares: MF según el diámetro y MF' según la tangente; la fuerza centrípeta, cuya aceleración buscamos, es MF.
Según un teorema de geometría, una cuerda es media proporcional entre su proyección y el diámetro del círculo; luego:

Si comparamos este resultado con la fórmula del movimiento uniformemente acelerado

Luego, aceleración centrípeta

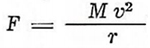
Valor de las fuerzas centrífuga y centrípeta. — La fuerza
centrípeta es la reacción a la fuerza centrífuga; luego, ambas fuerzas son iguales, así como sus aceleraciones.
Según esto, se tiene:
Aceleración centrípeta = aceleración centrifuga = v2/r
Ahora bien, como una fuerza es igual al producto de la masa
por la aceleración, o sea:
F = M X a
Se obtiene,

PROBLEMAS RESUELTOS :
1º - ¿Qué tracción ejerce sobre el hilo que sujeta una esfera de plomo,
de peso P = 100 gramos, que gira con una velocidad de 120 vueltas por
minuto describiendo una circunferencia de 0,50 m. de radio?
La velocidad tangencial de la esfera es:


2º - Calcúlese la fuerza centrifuga de
una locomotora que pesa 10 toneladas, al
recorrer con una velocidad de 60 Km. por
hora, una curva de 500 m. de radio.

Fig. 6 - Fuerza centrífuga.
La masa de la locomotora es:

3º ¿Cuál debe ser la inclinación de dicha locomotora y, por lo mismo, la de la
vía, para que las ruedas carguen igualmente sobre ambos rieles?
Anchura de la vía: 1,44 m.
La locomotora, cuyo centro de gravedad se halla en G (fig. 6), está
colocado sobre el plano inclinado AC, que forma el ángulo α con el suelo
horizontal AB.
El peso P de la máquina y la fuerza centrífuga F, que tienden a echarla
fuera de la vía, se componen por una resultante R que ha de ser normal
a la vía.
Entonces los triángulos rectángulos ACB y GPR son semejantes (lados respectivamente perpendiculares) y dan la proporción:

MOVIMIENTO DE LOS PLANETAS
El movimiento de los planetas. Leyes de Kepler.
1º Ley: Cada planeta describe alrededor del Sol, una curva
plana que tiene la forma de una elipse y el centro del Sol (S)
ocupa uno de los dos focos (fig. 7).
Así, pues, cada planeta se sitúa a diferentes distancias del Sol; la más corta, AS, es la distancia perihelia; la mayor, SB, es la afelia.
2º Ley: Las áreas recorridas por los radios vectores de un planeta alrededor del Sol son proporcionales a los tiempos empleados
en recorrerlos.
Radio vector es la recta de longitud variable (PS, P1S, AS),
que une el planeta al Sol.

Fig. 7 - Movimiento de los planetas
En su movimiento de circulación el planeta se mueve con velocidad variable, que llega a su mínimum en el afelio y al máximum
en el perihelio.
Suponiendo que el astro recorre en tiempos iguales los arcos
AP, PP1, P1B, se tendrá:
área ASP = PSP1 = P1B
3º Ley: Los cuadrados de los tiempos de la revolución de dos
planetas son proporcionales a los cubos de los ejes mayores de las
órbitas.
Es decir que:

Juego de la energía. — Las leyes de Kepler indican cómo
se efectúa el movimiento de los planetas, pero no dicen nada de
la energía o de las fuerzas que intervienen.
En el perihelio almacenan energía cinética y parte de ella se
transforma en energía potencial, a medida que el planeta se aleja
del Sol: en el afelio se verifica la transformación inversa. Pero
en cada lugar y momento se tiene siempre:
Energía cinética energía potencial = Constante.
Ley de atracción universal o de Newton.— Newton nos dió el porqué de este movimiento y demostró que las leyes de
Kepler son verdaderas, si se supone que hay entre el planeta y
el Sol una fuerza de atracción proporcional a las masas m y m'
del Sol y del planeta, e inversamente proporcional al cuadrado de
la distancia d, que les separa.
Después de encontrar esta ley, Newton la aplicó al movimiento de los cometas y de los satélites y encontró que
también se verificaba.
Por esto concibió la atrevida idea de
que ésta era la ley universal, según la
cual todos los cuerpos materiales se
atraen en razón directa del producto de
sus masas y en razón inversa del cuadrado de la distancia.

Siendo el valor de k en el sistema
c. g. s. igual a la atracción de dos masas
de un gramo separadas por 1 cm., dicho
valor

Medición del radio terrestre por el método del péndulo. —
La dirección de la fuerza de atracción está determinada por la
recta que une los centros de las dos masas. (Si consideramos la
masa M de la tierra y la masa m de un cuerpo sobre la tierra,
podemos reemplazar la distancia d de los centros por el radio R
de la tierra, despreciando con ello la altura del cuerpo sobre el
suelo; además, como: Fuerza de atracción F = peso P del cuerpo,
la fórmula de Newton puede escribirse:

En (3) reemplazando M por su valor:
M = V (volumen) X D (densidad)

Pero como la tierra es una esfera:

En (4) sustituyendo V por su valor, se tiene:

Gravedad g: la da el péndulo.
|