CIRCUITOS "Π", "T" Y SU EQUIVALENCIA
Veamos una red resistiva generada a partir de un circuito en puente de Wheatstone, donde sustituimos el galvanómetro por su resistencia equivalente Rm , podemos dibujar el circuito mostrado en la figura
siguiente

Red resistiva generada a partir de un circuito en puente de Wheatstone.
No podemos reducir las resistencias interconectadas de este circuito a una única resistencia equivalente entre los terminales de la batería si nos restringimos a los circuitos equivalentes simples en serie y en paralelo que hemos introducido anteriormente. Las resistencias interconectadas pueden reducirse a una única resistencia equivalente por medio de un circuito equivalente triángulo-estrella (Δ-Y) o pi-T (π-T).
Las resistencias R1, R2, Y Rm (o R3, Rm Y Rx) en el circuito mostrado en la Figura a se denominan
interconexión delta (Δ) o en triángulo, debido a que la interconexión se asemeja a la letra griega A,
que tiene forma triangular. También se denomina interconexión en pi porque la Δ puede dibujarse
como una π sin perturbar la equivalencia eléctrica de las dos configuraciones. La equivalencia eléctrica entre las conexiones en Δ y π resulta aparente en la Figura b.

Las resistencias R1, Rm y R3 (o R2, Rm y Rx) en el circuito mostrado en la Figura a se denominan
interconexión en Y o en estrella, debido a que la interconexión puede dibujarse de forma que se asemeje a la letra Y. Resulta más sencillo ver la forma de la Y cuando se dibuja la interconexión como en la Figura b. La interconexión en Y también se denomina interconexión en T porque la estructura en Y puede dibujarse como una estructura en T sin perturbar la equivalencia eléctrica de las dos estructuras. La equivalencia eléctrica de las configuraciones en Y y en T resulta obvia en la Figura b
Cualquier parte de un circuito complejo formado sólo por elementos pasivos lineales y bilaterales que interconecte dos sectores del mismo circuito por medio de cuatro terminales, como el que se muestra en la figura 1, puede ser reemplazado por otro más sencillo denominado "Π Δ ó triángulo".
El comportamiento de esta caja negra como elemento de interconexión puede ser modelado, a efecto de la relación de tensiones y corriente entre sus terminales, por un circuito equivalente, cuyos componentes se obtienen a partir de tres mediciones externas entre pares de terminales "R12", "R13" y "R34" independientes una de la otra. Esto significa que cuando se mide la resistencia entre un par de terminales cualesquiera, los dos restantes deben quedar desconectados. Así el circuito puede ser redibujado con la forma de un triángulo o estrella.

Figura 1.

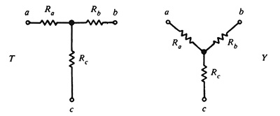
Figura 2. Forma de una red T, Y o en estrella
La red de la figura 2 se llama una red T, Y o estrella, debido a su forma. El circuito es el mismo con distintos nombres; en el caso de una red estrella o Y, los brazos Ra y Rb de la red forman la parte superior de la Y.

Figura 3. Forma de una red "Π" o Δ
La red de la figura 3 se llama una red Π (pi) o Δ (delta) porque su forma se parece a la de estas letras griegas; Π y Δ son nombres diferentes para la misma red.
En el análisis de circuitos es muy útil convertir una estrella en delta o una delta en estrella para simplificar la solución. Las fórmulas para estas conversiones se obtienen de las leyes de Kirchhoff. Después de usar las fórmulas de conversión, las redes deben ser equivalentes por tener resistencias equivalentes entre cualquier par de terminales.
Transformaciones triángulo-estrella y estrella-triángulo
La Figura 4 ilustra la transformación de circuitos equivalentes (Δ-Y) o pi-T (π-T). Observe que no podemos transformar la interconexión Δ en la interconexión en Y simplemente cambiando la forma de las interconexiones. Decir que un circuito conectado en Δ es equivalente a otro circuito conectado en Y significa que la configuración en Δ puede sustituirse por la configuración en Y sin que exista ninguna diferencia en cuanto al comportamiento en los terminales de las dos configuraciones. Por tanto, si situamos cada circuito en una caja negra, no podremos determinar mediante medidas externas si la caja contiene un conjunto de resistencias conectadas en Δ o un conjunto de resistencias conectadas en Y. Esta condición es verdadera únicamente si la resistencia entre las correspondientes parejas de terminales es la misma para los dos circuitos. Por ejemplo, la resistencia entre los terminales a y b debe ser la misma si utilizamos el conjunto conectado en Δ o el conjunto conectado en Y. Para cada par de terminales en el circuito conectado en Δ, la resistencia equivalente puede calcularse utilizando simplificaciones en serie y en paralelo, con lo que se obtiene


También es posible invertir la transformación Δ-Y. Es.decir, podemos partir de la estructura en Y y
sustituirla por una estructura en Δ equivalente. Las expresiones para las tres resistencias conectadas en
Δ en función de las tres resistencias conectadas en Y son


a) Configuración en estrella

b) Configuración en triángulo
Aplicación de una transformación triángulo-estrella
Calcule la corriente y la potencia suministrada por la fuente de 40 V en el circuito mostrado en la Figura 5.

Figura 5. Circuito del Ejemplo
SOLUCIÓN
Sólo estamos interesados en la corriente y en el consumo de potencia en la fuente de 40 V, por lo que habremos resuelto el problema sin más que obtener la resistencia equivalente en bornes de los terminales de la fuente. Podemos calcular esta resistencia equivalente de forma sencilla sin más que sustituir la Δ superior (100, 125,25 Ω ) o la Δ inferior (40, 25, 37,5 Ω) por su configuración en Y equivalente. Sustituyamos la Δ superior. Podemos entonces calcular las tres resistencias en Y, definidas en la Fjgura 4, a partir de las Ecuaciones de transformación. De esta manera,

Sustituyendo las resistencias en Y en el circuito mostrado en la Figura 5, se genera el circuito mostrado en la Figura 6. A partir de la Figura 7, podemos calcular fácilmente la resistencia en bornes de los terminales de la fuente de 40 V mediante simplificaciones serie-paralelo:

El paso final consiste en observar que el circuito se reduce a una resistencia de 80 Ω en bornes de una fuente de 40 V, como se muestra en la Figura 7, de donde resulta obvio que la fuente de 40 V suministra 0,5 A y 20 W al circuito.

Figura 6. Resistencias en Y equivalentes.

Siguiente >> 1 - 2 - 3 -
Conceptos destacados :
| pi network (π network) |
(red pi). Red resistiva cuya configuración se asemeja a la letra griega π y que es eléctricamente equivalente a una red delta. |
| T network |
(red T). Red resistiva con disposición similar a la letra T, eléctricamente equivalente a una red en estrella. |
| delta connection (Δ) |
(conexión triángulo). Interconexión de resistencias dispuestas en forma triangular, equivalente a una red pi. |
| star connection (Y) |
(conexión estrella). Configuración de resistencias que parten de un punto común, equivalente a una red T. |
| delta-star transformation |
(transformación triángulo-estrella). Conversión de una red delta en una red estrella eléctricamente equivalente. |
| star-delta transformation |
(transformación estrella-triángulo). Conversión de una red estrella en una red delta equivalente. |
| equivalent circuit |
(circuito equivalente). Circuito que presenta el mismo comportamiento eléctrico en sus terminales que otro más complejo. |
| resistive network |
(red resistiva). Conjunto de resistencias interconectadas que forman parte de un circuito eléctrico. |
| Wheatstone bridge |
(puente de Wheatstone). Circuito resistivo utilizado para medir resistencias, base de redes equivalentes complejas. |
| galvanometer resistance |
(resistencia del galvanómetro). Resistencia equivalente del galvanómetro cuando se lo reemplaza en un circuito. |
| passive linear elements |
(elementos pasivos lineales). Componentes eléctricos que no generan energía y cumplen relaciones lineales entre tensión y corriente. |
| bilateral elements |
(elementos bilaterales). Elementos cuyo comportamiento eléctrico es el mismo independientemente del sentido de la corriente. |
| equivalent resistance |
(resistencia equivalente). Resistencia única que reemplaza a un conjunto de resistencias entre dos terminales. |
| series-parallel simplification |
(simplificación serie-paralelo). Método de reducción de circuitos mediante combinaciones en serie y en paralelo. |
| Kirchhoff’s laws |
(leyes de Kirchhoff). Conjunto de leyes fundamentales utilizadas para el análisis y la equivalencia de circuitos eléctricos. |
|