| Erosional, erosivo, erosional |
| Erosive, erosivo |
| Err (to), errar |
| Errand, mandado |
| Errant, errante |
| Erratic vibrations, vibraciones irregulares imprevisibles |
| Erratic, irregular, inconstante, sin rumbo fijo, voluble, resultado desigual, poco uniforme |
| Erraticness, irregularidad de funcionamiento |
| Erroneous, erróneo |
| Error in bearing, error de marcación |
| Error -checking protocol, protocolo para la verificación de errores. En comunicaciones por módem, casi todos los protocolos para transferencia de archivos verifican que no haya errores en la integridad de los datos que están siendo transmitidos o recibidos. Sin embargo, algunos archivos de protocolos de transferencia, como Ymodem-G y 1KXmodem-G, no verifican errores con el fin de aumentar la velocidad en la transmisión, dejando que un módem con error-checking haga el trabajo. See: file transfer protocol, V.42 |
| Error checking, verificación de errores, ( Informática y Computación ) 1- Comprobación de la transmisión precisa de datos sobre una red de comunicaciones, o internamente en un sistema de computación. See: parity checking, CRC. 2- Lo mismo que validity checking |
| Error code, código de error. Número que el computador muestra en la pantalla cuando ha detectado un error en el sistema |
| Error coefficient, coeficiente de error, ( Sistemas de control ) Valor de estado estacionario de la salida de un sistema de control o de alguna derivada de la salida, dividida por la señal actualmente de estado estacionario. También conocido por constante de error |
| Error constant, constante de error, ( Sistemas de control ) See: Error coefficient |
| Error control, control de errores ( Informática y Computación ) Lo mismo que error checking |
| Error -correcting code, código corrector de errores ( Electrónica - Electronics ), Un código de datos en el que las señales conforman reglas específicas de construcción, para permitir que desviaciones y errores puedan ser automáticamente detectados y corregidos. Estos códigos requieren más elementos de señal que los puramente necesarios para el envío de la información. Ver también : código detector de errores, comprobación de paridad |
| Error -detecting code, código detector de errores (Electrónica - Electronics ), Un código de datos en el que las señales conforman reglas específicas de construcción, para permitir que desviaciones o errores puedan ser detectados. Estos requieren más elementos de señal que los puramente necesarios para el envío de la información. Como ejemplo, supóngase un código digital implementado de forma que todas las palabras contengan un número par de pulsos. Entonces, cualquier palabra que contenga un número impar puede detectarse efectuando una comprobación de paridad . Ver también : código corrector de errores, comprobación de paridad |
| Error detection & correction, detección y corrección de errores ( Informática y Computación ) See: error checking, validity checking |
| Error -free channel, canal libre de errores ( Informática y Computación ) Interfaz (tendido, alambre, cable, etc .) entre dispositivos que no está sujeta a interferencias externas, específicamente no es el sistema telefónico de marcación manual |
|
| Error halt, parar en caso de error. Opción que determina en qué parte de la comprobación debe detenerse el computador en caso de que detecte alguna anomalía durante el arranque. All errors indica que debe hacerlo en cualquier tipo de falla . All, but keyboard indica que debe detenerse en cualquier señal de error, excepto cuando provenga del teclado |
| Error handling, manejo de errores ( Informática y Computación ) Rutinas en un programa que responden a errores. La medida de calidad en el manejo de errores está basada en cómo el sistema informa al usuario de tales condiciones o qué alternativas provee para tratarlas |
| Error in, entrada de error. En un sistema de velocidad autoregulada, denominado servo, error in es una señal de realimentación usada para corregir la operación del dispositivo motor, y su amplitud corresponde al grado de desviación con respecto a una señal patrón de referencia . See: DC error voltage |
| Error of closure (surveillance), error de cierre |
| Error rate, tasa de errores, rata de errores. ( Informática y Computación ) Medida de la calidad de un canal de comunicaciones. Es la relación de la cantidad de unidades erróneas de datos que se encuentran en la cantidad total de unidades de datos transmitidos. En transmisión de datos, es la relación entre el número de elementos incorrectos transmitidos y el número total de elementos transmitidos |
| Error signal, señal de error, señal diferencia . ( Sistemas de control ) En un dispositivo de control automático, es una señal cuya magnitud y signo son utilizados para corregir la alineación entre los elementos controladores y los controlados |
| Error, aberración, error, cualquier discrepancia entre los valores correctos y los obtenidos en algún tipo de cálculo o proceso; cyclic error, error periódico; illumination phase error, error de fase en la iluminación; instrumental error, error instrumental; mean error, error medio; night error, error de noche; octantal component of error, componente octantal de error; polarization error , error de polarización; probable error, error probable; quadrantal error, error cuadrantal; quadrantal component of error, componente cuadrantal de error; residual error, error residual; semi-circular error , error semicircular; semi-circular component of error, componente semicircular de error; site error, error de emplazamiento; slit width error, aberración de anchura de rendija; systematic error, error sistemático |
| Error, error. ( Instrumentación industrial - Industrial instrumentation ). Es la diferencia algebraica entre el valor leído o transmitido por el instrumento y el valor real de la variable medida. Si el proceso está en condiciones de régimen permanente existe el llamado error estático. En condiciones dinámicas el error varía considerablemente debido a que los instrumentos tienen características comunes a los sistemas físicos: absorben energía del proceso y esta transferencia requiere cierto tiempo para ser transmitida, lo cual da lugar a retardos en la lectura del aparato. Siempre que las condiciones sean dinámicas, existirá en mayor o menor grado el llamado error dinámico (diferencia entre el valor instantáneo de la variable y el indicado por el instrumento): su valor depende del tipo de fluido del proceso, de su velocidad, del elemento primario (termopar, bulbo y capilar), de los medios de protección (vaina), etc. El error medio del instrumento es la media aritmética de los errores en cada punto de la medida determinados para todos los valores crecientes y decrecientes de la variable medida.
Cuando una medición se realiza con la participación de varios instrumentos, colocados unos a continuación de otros, el valor final de la medición estará constituido por los errores inherentes a cada uno de los instrumentos.
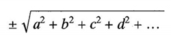
Si el límite del error relativo de cada instrumento es ± a, ± b, ± c, ± d, etc., el máximo error posible en la medición será la suma de los valores anteriores, es decir
± (a + b + c + d +...)
Ahora bien, como es improbable que todos los instrumentos tengan al mismo tiempo su error máximo en todas las circunstancias de la medida, suele tomarse como error total de una medición la raíz cuadrada de la suma algebraica de los cuadrados de los errores máximos de los instrumentos, es decir, la expresión:

Por ejemplo, el error obtenido al medir un caudal con un diafragma, un transmisor electrónico de 4 - 20 mA c.c., un receptor y un integrador electrónicos es de:
Error del diafragma..............................................................................2 %
Error del transmisor electrónico de 4-20 mA c.c............................... 0,5 %
Error del receptor electrónico............................................................. 0,5 %
Error del integrador electrónico..........................................................0,5 %
Error total de la medición =  |
| Erstwhile, principio |
| Erudite, erudito |
| Erudition, erudición |
| Eruginous, cuproso, de la naturaleza del verdín |
| Erupt (to), salir violentamente, prorrumpir, hacer erupción, estallar |
| Eruption, erupción |
| Eruptive (geology), eruptivo, volcánico |
| Erythemal factor (illuminating engineering), factor de eficiencia eritémica |
| Erythemal flux (illuminating engineering), flujo eritémico |
| Erythrite (mineralogy), eritrina, flores de cobalto |
| Erythrosin (laboratory), eritrosina |
| ES/9000, ( Informática y Computación ) See: MM mainframes |
| Esaki diode, diodo Esaki (Electrónica - Electronics ), See: tunnel diode ( diodo túnel ) |
| Esc, ( Informática y Computación ) escape. Tecla que usualmente permite salir de la pantalla (menú) o del proceso que el computador está realizando. See: escape code, escape key, escape character |
| ESC/P, Epson Standard Code for Printers. Sistema de comandos que permiten controlar una impresora Epson mediante los programas de aplicación del computador |
| Escalate (to), escalar |
| Escalator. ( Mechanical Engineering ) A continuously moving stairway and handrail. Escalera mecánica, escalera mecánica o sin fin, (en Argentina) escalador, (en Argentina) escalera rodante. ( Ingeniería mecánica ) Una escalera de movimiento continuo |
| Escapade, evasión |
| Escape code (o character), ( Informática y Computación ) 1. Código de escape. 2. Carácter de la tabla ASCII (el número 27) que se utiliza para cancelar una operación o el comando que se está ejecutando actualmente. Cuando es transmitido a una impresora, hace que la máquina ejecute una función especial, tal como imprimir caracteres en letra negrilla, avanzar un renglón, saltar una página, etc . 3. Carácter que funciona como la tecla Escape (ESC). See: escape command |
| ES-NIC, España Network Information Center . |
| |
|